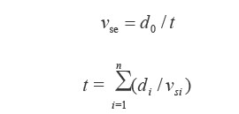
土层的等效剪切波速计算公式

se土层等效剪切波速(m/s);
d0计算深度(m),取覆盖层厚度和20m 二者的较小值;
t剪切波在地面至计算深度之间的传播时间;
di计算深度范围内第i 土层的厚度(m);
si计算深度范围内第i 土层的剪切波速(m/s);
n计算深度范围内土层的分层数。

se土层等效剪切波速(m/s);
d0计算深度(m),取覆盖层厚度和20m 二者的较小值;
t剪切波在地面至计算深度之间的传播时间;
di计算深度范围内第i 土层的厚度(m);
si计算深度范围内第i 土层的剪切波速(m/s);
n计算深度范围内土层的分层数。