规范网
更新
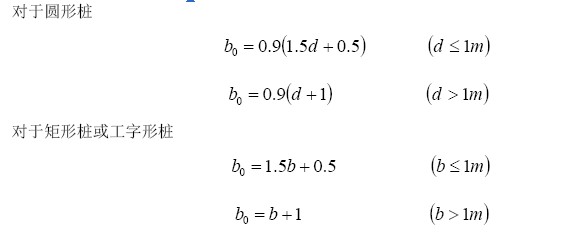
排桩的土反力计算宽度可有哪些公式
排桩的土反力计算宽度可有哪些公式?
式中: b0──单桩土反力计算宽度(m);当按式(1)~式(4)计算的b0大于排桩间距时,取b0等于排桩间距;
d──桩的直径(m);
b──矩形桩或工字形桩的宽度(m)
排桩,土反力计算,宽度公式
展开剩余
%
加入收藏
上一篇:
支护结构的水平荷载有哪些
采用混凝土灌注桩时支护桩有哪些要求
:下一篇
相关推荐
排桩施工应符合哪些要求
哪些边坡宜采用排桩式锚杆挡墙支护
排桩墙支护工程检验批质量验收记录表填写要求有哪些