如何计算场地地形图和各方格网挖、填土方工程量?
【例】某建筑物场地地形图和方格网(边长a=20.0m)布置如图所示。土壤为二类土,场地地面泄水坡度ix=0.3%,iy=0.2%。试确定场地设计标高(不考虑土的可松性影响,余土加宽边坡),计算各方格挖、填土方工程量。

某场地地形图和方格网布置
【解】(1)计算场地设计标高H0:
H1=(9.45+10.71+8.65+9.52)m=38.33m
2H2=2(9.75+10.14+9.11+10.27+8.80+9.86+8.91+9.14)m=151.96m
4H4=4(9.43+9.68+9.16+9.41)m=150.72m
H0=(H1+2H2+4H4)/4N=(38.33+151.96+150.72)/49m=9.47m
(2)根据泄水坡度计算各方格角点的设计标高:
以场地中心点(几何中心口)为H0,计算各角点设计标高为
H1=H0-300.3%+300.2%=(9.47-0.09+0.06)m=9.44m
H2=H1+200.3%=(9.44+0.06)m=9.50m
H5=H0-300.3%+100.2%=(9.47-0.09+0.02)m=9.40m
H6=H5+200.3%=(9.40+0.06)m=9.46m
H9=H0-300.3%-100.2%=(9.47-0.09-0.02)m=9.36m
其余各角点设计标高均可求出,详见图2-6。
(3)计算各角点的施工高度:
各角点的施工高度(以+为填方,-为挖方):
h1=(9.44-9.45)m=-0.01m
h2=(9.50-9.75)m=-0.25m
h3=(9.56-10.14)m=-0.58m
各角点施工高度如图所示。

某场地计算土方工程量图
(4)确定零线(即挖、填方的分界线):
确定零点的位置,将相邻边线上的零点相连,即为零线,如图所示。如1~5线上:X1=[0.01/(0.01+0.29)]20m=0.67m,即零点距角点1的距离为0.67m。
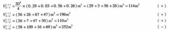
(5)计算各方格土方工程量(以(+)为填方,(-)为挖方):
1)全填或全挖方格:

全填或全挖方格计算
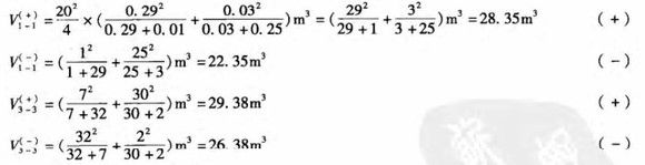
2)两挖、两填方格:

两挖、两填方格计算
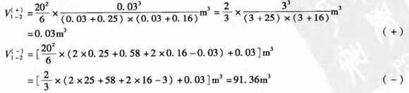
3)三填-挖或三挖-填方格:

三填-挖或三挖-填方格计算

三填-挖或三挖-填方格
将算出的各方格土方工程量按挖、填方分别相加,得场地土方工程量总计:
挖方:503.92m2
填方:504.26m2
挖方、填方基本平衡。
清单工程量计算见表。
表 清单工程量计算表
序号
项目编码
项目名称
项目特征描述
计量单位
工程量
1
010101002001
挖土方
二类土
m2
503.92
2
010103001001
土方回填
二类土、夯填
m2
504.26