装配式混凝土剪力墙结构节点及接缝设计要点有哪些?
1、预制剪力墙的顶面、底面和两侧面应处理为粗糙面或者制作键槽,与预制剪力墙连接的地梁上表面和圈梁上表面也应处理为粗糙面。粗糙面露出的混凝土粗骨料不宜小于其最大粒径的1/3,且粗糙面凹凸不应小于6mm。
2、对高层预制装配式剪力墙结构,楼层内相邻预制剪力墙的连接应符合下列规定:
1)边缘构件应现浇,现浇段内按照现浇混凝土结构的要求设置箍筋和纵筋;预制剪力墙的水平钢筋应在现浇段内锚固,或者与现浇段内水平钢筋焊接或搭接连接。构造如图2-1所示。
2)相邻预制墙片之间如无边缘构件,应设置现浇段,现浇段的宽度应同墙厚,现浇段的长度,当预制剪力墙的长度不大于1500mm时不宜小于150mm,大于1500mm时不宜小于200mm;现浇段内应设置竖向钢筋和水平环箍,竖向钢筋配筋率不小于墙体竖向分布筋配筋率,水平环箍配筋率不小于墙体水平钢筋配筋率;预制剪力墙的水平钢筋应在现浇段内锚固,或者与现浇段内水平钢筋焊接或搭接连接。构造如图2-2所示。
3)现浇部分的混凝土强度等级应高于预制剪力墙的混凝土强度等级两个等级或以上。

图2-1 预制墙板与现浇边缘构件连接构造

图2-2 预制墙板与现浇段连接构造
3、对多层预制装配式剪力墙结构,楼层内相邻预制剪力墙的连接应符合下列规定:
1)外墙转角、内墙转角、纵、横墙交接部位、相邻预制剪力墙之间应设置现浇段,现浇段的宽度应同墙厚,现浇段的长度应满足水平钢筋连接的要求;
2)现浇部分的混凝土强度等级应高于预制剪力墙的混凝土强度等级两个等级或以上;
3)预制剪力墙的水平钢筋应伸入现浇段;相邻墙片的水平钢筋可在现浇段内焊接连接或者锚固;现浇段内应设置竖向钢筋,配筋率不小于墙体竖向分布筋配筋率。
4、装配式剪力墙结构每层楼面处应设置封闭的现浇钢筋混凝土圈梁,圈梁截面宽度不应小于剪力墙的厚度,截面高度不小于楼板厚度及120mm的较大值。圈梁应与现浇或者预制叠合楼盖或屋盖浇筑成整体。
5、上下层相邻预制剪力墙的连接应符合下列规定:
1)预制剪力墙底与现浇圈梁之间应座浆,座浆宜采用高强灌浆料或者干硬性水泥砂浆,座浆厚度不宜大于20mm,其立方体抗压强度应高于预制剪力墙混凝土立方体抗压强度10MPa或以上,且不应低于60MPa;
2)预制剪力墙的竖向钢筋可采用浆锚套筒连接、浆锚搭接连接,见图5。连接构造应符合2~3条及相关规范的要求。

图5 预制剪力墙水平接缝构造
6、对高层预制剪力墙结构,上下层相邻预制剪力墙的竖向钢筋连接,应符合下列规定:
1)边缘构件的每根竖向钢筋应各自连接;
2)竖向分布钢筋宜每根各自连接;或者采用单排钢筋连接,连接钢筋的间距不宜大于400mm,强度不应小于上下层被连接钢筋强度较大者的1.1倍,连接筋总量不得小于竖向分布筋总量,钢筋搭接长度应符合现行国家标准的规定。
3)预制墙板相邻下层为现浇剪力墙时,墙板竖向钢筋自下表面伸出,锚入下层现浇墙体内,与下层墙体钢筋的搭接长度应符合现行国家标准的规定。
7、对多层预制剪力墙结构,上下层相邻预制剪力墙的竖向钢筋连接,应符合下列规定:
1)宜采用单排钢筋连接。
2)贯穿墙板水平接缝的连接筋规格数量,应由计算确定,但不得小于同层墙体钢筋总量;连接钢筋间距不大于1m;强度不应小于上下层被连接钢筋强度较大者,钢筋搭接长度应符合现行国家标准的规定。
3)墙片最外侧的竖向连接钢筋与墙片缘边间距不小于100mm。
4)竖向连接筋也可通过预埋件焊接连接。

图8.4.7 多层预制剪力墙结构水平接缝构造8、预制剪力墙的连梁应符合下列规定:1)连梁水平钢筋在墙肢内的锚固长度应符合现行国家标准的规定;2)预制外墙的窗上墙及预制内墙的门上墙应采用箍筋与现浇圈梁连接,形成叠合连梁;3)预制外墙的窗下墙竖向分布筋可不与下层墙钢筋连接,宜锚入现浇圈梁内。9、预制剪力墙之间可采用现浇连梁,连接构造如图9所示。负弯矩钢筋设置在现浇层内,正弯矩钢筋在现浇连梁内与预制墙片伸出的钢筋连接,可采用搭接、焊接或者机械连接。现浇连梁与预制墙片的结合面处,预制墙片上宜设置键槽。

图9 现浇连梁与预制墙片的连接
10、多层剪力墙结构基础,在与墙板竖缝对应位置上应设置基础暗柱或构造柱,暗柱或构造柱连带竖向钢筋应深至基础底部;基础顶面应设置圈梁,预制墙体的连接筋与全亮内钢筋搭接或焊接连接。
11、当屋顶采用预制女儿墙时,应采用与下部墙板结构相同的分块方式和节点做法,女儿墙板内侧应设凹槽预埋木砖,便于屋面防水油毡收头。
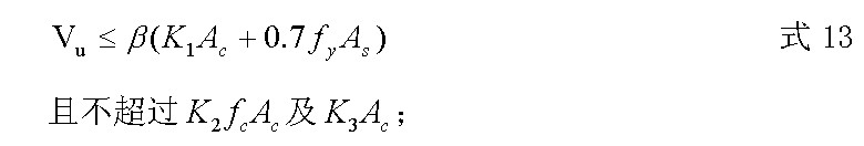
12、墙片底部水平拼缝的抗剪承载力计算采用以下公式进行:


式中

表8.4.12界面调承载力
非抗震
有粘结粗糙面或齿槽
0.9
无粘结粗糙面或齿槽
0.72
抗震设计
有粘结粗糙面或齿槽
0.9
无粘结粗糙面或齿槽
0.675
13、墙片与现浇段竖向拼缝的的抗剪承载力计算采用以下公式:

各项参数同12条。