规范网
更新
材料的空隙率是什么
材料的空隙率是什么?
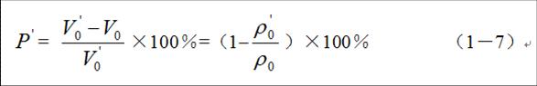
散粒状材料颗粒之间的空隙体积占材料堆积状态下总体积的百分数,称为散粒材料的空隙率。
空隙率计算式在建筑工程中,材料的密度、表观密度和堆积密度常用来计算材料的用量、构件的自重、配料计算及确定材料的堆放空间。
材料空隙率
展开剩余
%
加入收藏
上一篇:
材料的密实度有哪些
建筑材料的亲水性与憎水性是什么
:下一篇
相关推荐
监理项目部常见失职行为分析及防范
监理如何做好工程进度管控
13条工程施工过程中的监理建议
如何提升监理的安全管控水平和风险规避能力
新开工项目监理进场后的主要工作