一、 初估梁柱截面尺寸
(1)框架梁截面尺寸:框架梁的截面尺寸应该根据承受竖向荷载的大小、梁的跨度、框架的间距、是否考虑抗震设防要求以及选用的混凝土材料强度等诸多因素综合考虑确定。
一般情况下,框架梁的截面尺寸可参考受弯构件按下式估算:梁高h=(1/8~1/12)l,其中l为梁的跨度。梁宽b=(1/2~1/3)h。在抗震结构中,梁截面宽度不宜小于200mm,梁截面的高宽比不宜大于4,梁净跨与截面高度之比不宜小于4。
(2)框架柱截面尺寸:框架柱的截面形式通常大多为方形、矩形。柱截面的宽与高一般取层高的1/15~1/20,同时满足 、 ,l0为柱计算长度。多层房屋中,框架柱截面的宽度和高度不宜小于300mm;高层建筑中,框架柱截面的高度不宜小于400mm,宽度不宜小于350mm。柱截面高度与宽度之比为1~2。柱净高与截面高度之比宜大于4。
为了减少构件类型,简化施工,多层房屋中柱截面沿房屋高度不宜改变。
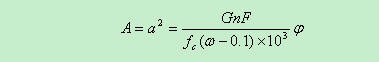
在计算中,还应注意框架柱的截面尺寸应符合规范对剪压比( )、剪跨比( )、轴压比( )限值的要求,如不满足应随时调整截面尺寸,保证柱的延性。抗震设计中柱截面尺寸主要受柱轴压比限值的控制,如以表示柱轴压比的限值,则柱截面尺寸可用如下经验公式粗略确定:

式中;A柱横截面面积,m2,取方形时边长为a;
n验算截面以上楼层层数;
F验算柱的负荷面积,可根据柱网尺寸确定,m2;
fc混凝土轴心抗压强度设计值;
框架柱最大轴压比限值,一级框架取0.7,二级框架取0.8,三级框架取0.9。
地震及中、边柱的相关调整系数,7度中间柱取1、边柱取1.1,8度中间柱取1.1、边柱取1.2;
G结构单位面积的重量(竖向荷载),根据经验估算钢筋混凝土高层建筑约为12~18kN/m2。
二、 材料强度等级
1、 混凝土的强度等级:抗震等级为一级的框架梁、柱和节点不宜底于C30,其他各类构件不应底于C20。
2、 钢筋的强度等级:纵向钢筋宜采用II、III级变形钢筋,箍筋宜采用I、II级钢筋。
三、 确定计算简图、选取计算单元
1、 画出水平计算简图,标注框架编号(横向为1、2、3-----,纵向为A、B、C---)、框架梁编号(材料、截面和跨度相同的编同一号),确定梁的计算跨度。
2、 选取计算单元(所需计算的一榀或几榀框架),画出计算简图,标出计算跨度、柱的计算高度,并对柱编号(材料、截面和高度相同的编同一号)。