本方案主要依据施工图纸及以下规范及参考文献编制:
《塔式起重机设计规范》(GB/T13752-1992)《地基基础设计规范》(GB50007-2002)《建筑结构荷载规范》(GB50009-2001)《建筑安全检查标准》(JGJ59-99)《混凝土结构设计规范》(GB50010-2002)《建筑桩基技术规范》(JGJ94-94)
第二节、工程概况
千城梨香水韵38#住宅楼工程;工程建设地点西邻规划恰尔巴格路,东望香梨置业圣果名苑,南依石化大道,北接梨香路,属于砖混结构;地上6层;地下1层;建筑高度:21.100m;标准层层高3.00m ;总建筑面积:3677.5平方米;总工期:214天。
本工程由巴音工程建设集团有限责任公司开发,巴州建筑勘察规划设计院设计,巴州基安岩土工程勘察有限公司地质勘察,库尔勒市工程建设监理中心监理,巴音工程建设集团603项目部承建, 担任项目经理,蒙乾文担任技术负责人。
本工程为千城梨香水韵38#住宅楼工程,建筑面积是3677.5平方米,地上六层,室内外高差0.95米,建筑物总高度21.100,建筑等级三级,屋面防水三级,抗震设防裂度为七度,抗震设防类别为丙类,建筑安全等级为二级使用年限为50年,场地土类别二类,场地基本风压0.45KN/M ,基本雪压0.25KN/M ,地基承载250KPA,工程质量为合格。
第三节、塔吊基本性能
十字交叉梁基础所用塔吊参数为:
塔吊型号为:QTG40 塔吊自重为:287.83kN
最大起重荷载为:46.6kN 塔吊额定起重力矩为:400kNm
塔吊起升高度为:40.8m 塔身宽度为:2.5m
第四节、塔吊基础定位及施工
1、塔吊基础定位详见施工平面图;
2、塔吊基础施工见计算书设计要求。基础施工前应由塔吊拆装队技术负责人进行如下几方面的技术交底:混凝土强度等级、钢筋配置图、基础与建筑平面图、基础剖面图、基础表面平整度要求、预埋螺栓误差要求等,接底人为工程施工负责人,双方书面交接。基础施工应由塔机所有部门派专人监督整个施工过程,同时做好各个隐蔽验收纪录,如钎探纪录、地基隐蔽工程验收纪录等。施工完毕做好砼的养护,砼强度达到要求后方可安装塔吊;
3、顶面用水泥砂浆找平,用水准仪校水平,倾斜度和平整度误差不超过1/5000;
4、机脚螺栓位置、尺寸要绝对正确,应特别注意做好复核工作,尺寸误差不超过0.5mm,螺纹位须抹上黄油,并注意保护。
第五节、场地及机械设备人员等准备
1、在塔基周围,清理出场地,场地要求平整,无障碍物;
2、留出塔吊进出堆放场地及吊车、汽车进出通道,路基必须压实、平整;
3、塔吊安拆范围上空所有临时施工电线必须拆除或改道;
4、机械设备准备:汽车吊一台,电工、钳工工具,钢丝绳一套,U型环若干,水准仪、经纬仪各一台,万用表和钢管尺各一只;
5、塔吊安拆必须由专业的安拆人员进行操作。
第六节、塔吊的安装及调试
1、安装要求:轴销必须插到底,并扣好开口销。基脚螺丝及塔身连接螺丝必须拧紧。附墙处电焊必须有专职电焊工焊接。垂直度必须控制在千分之一以内。
2、塔吊的安装顺序:校验基础安装底架安装基础节安装三个标准节安装预升套架安装回转机构总成安装塔帽安装司机室安装平衡臂吊起1~2块平衡重(根据设计要求)拼装起重臂吊装起重臂吊装余下配重。各道工序严格按标准要求施工,上道工序未完严禁进行下道工序。
3、注意事项:安装人员必须带好安全帽;严禁酒后上班;非安装人员不得进入安装区域。安装拆卸时必须注意吊物的重心位置,必须按安装拆卸顺序进行安装或拆卸,钢丝绳要栓牢,卸扣要拧紧,作业工具要抓牢,摆放要平稳,防止跌落伤人,吊物上面或下面都不准站人。基本高度安装完成后,应注意周围建筑物及高压线,严禁回转或进行吊重作业,下班后用钢筋卡牢。
4、塔吊的顶升作业
(1)、先将要加的几个标准节吊至塔身引入的方向一个个依次排列好,然后将大臂旋转至引进横梁的正上方,打开回转制动开关,使回转处于制动状态。
(2)、调整好爬升架导轮与塔身之间的间隙,以3-5mm为宜,放松电缆的长度,使至略大于总的爬升高度,用吊钩吊起一个标准节,放到引进横梁的小车上,移动小车的位置,使塔吊的上部重心落在顶升油缸上的铰点位置上,然后卸下支座与塔身连接的八个高强度螺栓,并检查爬爪是否影响爬升。
(3)、将顶升横梁挂在塔身的踏步上,开动液压系统,活塞杆全部伸出后,稍缩活塞杆,使爬爪搁在塔身的踏步上,接着缩回全部活塞杆,重新使顶升横梁挂在塔身的上一级踏步上,再次伸出全部活塞杆,此时塔身上方刚好出现能装一节标准节的空间。
(4)、拉动引进小车,把标准节引到塔身的正上方,对准标准节的螺栓联结孔,缩回活塞杆至上、下标准节接触时,用高强度螺栓把上下标准节联结起来,调整油缸的伸缩长度,用高强度螺栓将上下支座与塔身联结起来。
(5)、以上为一次顶升加节过程,连续加节时,重复以上过程,在安装完八个标准节后,这样塔机才能吊重作业。
5、顶升加节过程中的注意事项:
(1)、自顶升横梁挂在塔身的踏步上到油缸的活塞杆全部伸出,套架上的爬爪搁在踏步上这段过程中,必须认真观察套架相对顶升横梁和塔身的运动情况,有异常情况立即停止顶升。
(2)、自准备加节,拆除下支座与塔身相连的高强度螺栓,至加节完毕,联结好下支座与塔身之间的高强度螺栓,在这一过程中严禁起重臂回转或作业。
(3)、连续加节,每加一个标准节后,用塔吊自身起吊下一个标准节之前,塔机下支座与塔身之间的高强螺栓应连接上,但可不拧紧。
(4)、所加标准节有踏步的一面必须对准。
(5)、塔机加节完毕,应使套架上所有导轮压紧塔身主弦杆外表面,并检查塔身标准节之间各接头的高强螺栓拧紧情况。
(6)、在进行顶升作业过程中,必须有专人指挥,专人照管电源,专人操作爬升机构,专人紧固螺栓。非有关操作人员,不得登上爬升架的操作平台,更不能擅自启动泵阀开关和其他电气设备。
(7)、顶升作业须在白天进行,若遇特殊情况,需在夜间作业时,必须有充足的照明设备。
(8)、只许在风速低于13m/s时进行顶升作业,如在顶升过程中突然遇到风力加大,必须停止顶升作业,紧固各连接螺栓,使上下塔身联结成一体。
(9)、顶升前必须放松电缆,使电缆放松长度略大于总的爬升高度并做好电缆的坚固工作。
(10)、在顶升过程中,因把回转机构紧紧刹住,严禁回转及其他作业。如发现故障,必须立即停车检查,未查明原因,未将故障排除,不得进行爬升作业。
6、调试标准:必须按塔吊性能表中的重量进行限位及力矩限位,各限位开关调好后,必须动作灵敏,试用三次,每次必须合格。联结好接地线,接地线对称二
点接地,接地电阻不大于4欧姆。
第七节、塔吊的拆卸
1、工地使用完毕后,必须及时通知公司,由公司派人拆除。
2、塔吊的塔身下降作业:
(1)、调整好爬升架导轮与塔身之间的间隙,以3-5mm为宜,移动小车的位置,使塔吊的上部重心落在顶升油缸上的铰点位置上,然后卸下支座与塔身连接的八个高强度螺栓,并检查爬爪是否影响塔吊的下降作业。
(2)、开动液压系统,活塞杆全部伸出后,将顶升横梁挂在塔身的下一级踏步上,卸下塔身与塔身的连接螺栓,稍升活塞杆,使上下支座与塔身脱离,推出标准节到引进横梁顶端,接着缩回全部活塞杆,使爬爪搁在塔身的踏步上,再次伸出全部活塞杆,重新使顶升横梁在塔身的上一级踏步上,缩回全部活塞杆,使上下支座与塔身连接,并插上高强度螺栓。
(3)、以上为一次塔身下降过程,连续下降塔身时,重复以上过程。
(4)、拆除时,必须按照先降后拆附墙的原则进行拆除,设专人现场安全监护,严禁操作场内人流通行。
3、拆至基本高度时,用汽车吊辅助拆除,必须按拆卸顺序进行拆除。
4、注意事项同顶升加节过程。
第八节、附墙装置的拆装
当塔机高度超过独立高度时,应立即与建筑物进行附着。首先根据说明书确定附着点高度,下好预埋件。如果首道附着点不在指定位置上,附着点只能降低不能提高;如果附着点离建筑物较远,应重新设计计算,并经审批后方可施工。
1、在升塔前,要严格执行先装后升的原则,即先安装附墙装置,再进行升塔作业,当自由高度超过规定高度时,先加装附墙装置,然后才能升塔。
2、在降塔拆除时,也必须严格遵守先降后拆的原则,即当爬升套降到附墙不能再
拆塔身时,不能拆除附墙,严禁先拆附墙后再降塔。
第九节、塔吊的日常维护和操作使用
1、维护与保养:
(1)、机械的制动器应经常进行检查和调整制动瓦和制动轮的间隙,以保证制动的灵活可靠,其间隙在0.5-1mm之间,在摩擦面上不应有污物存在,遇有异物即用汽油洗净。
(2)、减速箱、变速箱、外啮合齿轮等部分的润滑指标进行添加或更换。
(3)、要注意检查个部钢丝绳有无断股和松股现象,如超过有关规定,必须立即更换。
(4)、经常检查各部位的联结情况,如有松动,应予拧紧,塔身联结螺栓应在塔身受压时检查松紧度,所有联结销轴必须带有开口销,并需张开。
(5)、安装、拆卸和调整回转机械时,要注意保证回转机械与行星减速器的中心线与回转大齿圈的中心线平行,回转小齿轮与大齿轮圈的啮合面不小于70%,啮合间隙要合适。
(6)、在运输中尽量设法防止构件变形及碰撞损坏;必须定期检修和保养;经常检查节构联结螺栓,焊缝以及构件是否损坏、变形和松动。
2、塔吊的操作使用
(1)、塔顶的操作人员必须经过训练,持证上岗,了解机械的构造和使用方法,必须熟知机械的保养和安全操作规程,非安装维护人员未经许可不得攀爬塔机。
(2)、塔机的正常工作气温为-20~40度,风速低于20m/s。
(3)、在夜间工作时,除塔机本身备有照明外,施工现场应备有充足的照明设备。
(4)、在司机室内禁止存放润滑油,油棉纱及其他易燃易爆物品冬季用电炉取暖时更要注意防火,原则上不许使用。
(5)、塔顶必须定机定人,专人负责,非机组人员不得进入司机室擅自进行操作。在处理电气故障时,须有维修人员二个以上。
(6)、司机操作必须严格按十不吊规则执行。
(7)、塔上与地面用对讲机联系。
第十节、安全措施
1、按建设部《塔式起重机拆装许可证》要求,配备相关人员,明确分工,责任到人。
2、上岗前必须对上岗人员进行安全教育,必须带好安全帽,严禁酒后上班。
3、塔机的安拆工作时,风速超过13m/s和雨雪天,应严禁操作。
4、操作人员应佩戴必要的安全装置,保证安全生产。
5、严禁高空作业人员向下抛扔物体。
6、未经验收合格,塔吊司机不准上台操作,工地现场不得随意自升塔吊、拆除塔吊及其他附属设备。
7、严禁违章指挥,塔吊司机必须坚持十个不准吊。
8、夜间施工必须有足够的照明,如不能满足要求,司机有权停止操作。
9、拆装塔机的整个过程,必须严格按操作规程和施工方案进行,严禁违规操作。
10、多塔作业时,要制定可靠的防碰撞措施。
第十一节、塔吊的沉降、垂直度测定及偏差校正
1、塔吊基础沉降观测半月一次。垂直度在塔吊自由高度时半月一次测定,当架设附墙后,每月一次(在安装附墙时必测)。
2、当塔机出现沉降,垂直度偏差超过规定范围时,须进行偏差校正,在附墙未设之前,在最低节与塔吊机脚螺栓间加垫钢片校正,校正过程用高吨位千斤顶顶起塔身,顶塔身之前,塔身用大缆绳四面缆紧,在确保安全的前提下才能起顶塔身当附墙安装后,则通过调节附墙杆长度,加设附墙的方法进行垂直度校正。
第十二节、防碰撞措施
1、安装根据《塔式起重机安全规程》10.5的规定两台起重机之间的最小架设距离应保证处于低位的起重机臂架端部与另一台起重机的塔身之间至少有2米的距离;处于高位起重机的最低位置的部件(吊钩升至最高点或最高位置的平衡重)与低位的起重机中处于最高位置部件之间的垂直距离不得小于2米。安装在垂直距离上满足规程要求。
2、操作
(1)当两台塔吊吊臂或吊物相互靠近时,司机要相互鸣笛示警,以提醒对方注意。
(2)夜间作业时,应该有足够亮度的照明。
(3)司机在操作时必须专心操作,作业中不得离开司机室,起重机运转时,司机不得离开操作位置。
(4)司机要严格遵守换班制度,不得疲劳作业,连续作业不许超过8小时。
(5)司机室的玻璃应平整、清洁,不得影响司机的视线。
(6)在作业过程中,必须听从指挥人员指挥,严禁无指挥操作,更不允许不服从指挥信号,擅自操作。
(7)回转作业速度要慢,不得快速回转。
(8)以上大风严禁作业。
(9)操作后,吊臂应转到顺风方向,并放松回转制动器,并且将吊钩起升到最高
点,吊钩上严禁吊挂重物。
第十三节、塔吊计算书
十字交叉梁基础计算书
一、塔吊的基本参数信息
塔吊型号: QTG40; 塔吊起升高度H: 40.800m;
塔吊倾覆力矩M: 858.86kN.m; 塔身宽度B: 2.500m;
塔吊自重G: 287.83kN; 最大起重荷载Q: 46.600kN;
桩间距l: 3m; 桩直径d: 0.010m;
桩钢筋级别: II级钢; 混凝土强度等级: C30;
交叉梁截面宽度: 0.9m; 交叉梁截面高度: 0.600m;
交叉梁长度: 6m; 桩入土深度: 0.010m;
保护层厚度: 100.000mm。
标准节长度a:2.5m;
额定起重力矩:400kNm; 基础所受的水平力:30kN;
主弦杆材料:角钢/方钢; 宽度/直径c:120mm;
所处城市:浙江杭州市; 基本风压W0:0.45 kN/m2;
地面粗糙度类别为 D类密集建筑群,房屋较高,风荷载高度变化系数z=0.84 。
二、塔吊对交叉梁中心作用力的计算
1. 塔吊自重G=287.83kN
2. 塔吊最大起重荷载Q=46.6kN
作用于塔吊的竖向力 F=1.2287.83+1.246.6=401.32kN
塔吊倾覆力矩M= 1.4 858.86 = 1202.40kNm
三、交叉梁最大弯矩和桩顶竖向力的计算
计算简图:

十字交叉梁计算模型(最大弯矩M方向与十字交叉梁平行)。
两段梁四个支点力分别为:
RA=N/4+qL/2+3M/2L RB=N/4+qL/2-3M/2L
RC=N/4+qL/2 RD=N/4+qL/2

两段梁的最大弯矩分别为:
M1=N(L-b)2/16L+qL2/24+M/2 M2=N(L-b)2/16L+qL2/24
得到最大支座力为 Rmax=RB, Rmin=RA,最大弯矩为 Mmax=M1。
b =21/2B=21/22.500 =3.54 m,L = 21/2l=21/23.000 =4.243m
交叉梁自重:q=250.9000.600=13.500 kN/m
桩顶竖向力:
Rmax=N/4+qL/2+3M/(2L)=401.320/4+13.5004.243/2+31202.404/(24.243) = 554.05kN
Rmin=N/4+qL/2-3M/(2L)=401.320/4+13.5004.243/2-31202.404/(24.243) = -296.11kN
交叉梁得最大弯矩 Mmax:
Mmax=N(L-b)2/(16L)+qL2 /24+M/2=401.320(4.243-3.540)2/(164.243)+13.5004.2432/24 + 1202.404/2=614.25kN.m
四、交叉梁截面主筋的计算
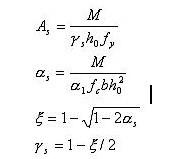
依据《混凝土结构设计规范》(GB50010-2002)第7.2条受弯构件承载力计算。

式中,l──系数,当混凝土强度不超过C50时, 1取为1.0,当混凝土强度等级为C80时,1取为0.94,期间按线性内插法,得1=1.00;
fc──混凝土抗压强度设计值,查表得fc=14.30N/mm2;
ho──交叉梁的有效计算高度,ho=600.00-100.00=500.00mm;
fy──钢筋受拉强度设计值,fy=300.00N/mm2;
经过计算得:s=614.25106/(1.0014.30900.00500.002)=0.191;
=1-(1-20.191)0.5=0.214;
s =1-0.214/2=0.893;
As =614.25106/(0.893500.00300.00)=4585.04mm2。
建议配筋值:II级钢筋,16@35mm。交叉梁底面单向根数23根。实际配筋值4625.3mm2。