与常规供暖和供冷水系统相同,在闭式系统最高点应设置膨胀箱,对于盘式蓄冰装置以及冰球内留有水在冻结时膨胀
空间的冰球式蓄冰装置,膨胀箱的体积VE可按下式计算:

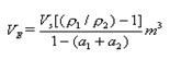
1
式中:Vs-在蓄冰期最低温度t1条件下,系统中载冷剂的体积,m3;
1-t1条件下,载冷剂的密度,Kg/m3;
2-最高温度条件下,载冷剂的密度,Kg/m3;
a1-在t1状态下,低液位时,膨胀箱的剩余时间,一般取10%;
a2-在最高温度下,高液位时,膨胀箱上部气体空间,一般可取20%。
当在冰球,冰板等封装容器内蓄冰时,如果封装容器内设有予留水在冻结时的膨胀空间,则需依靠封装容器的体积增
大而补偿水冻结的体积膨胀,这样,膨胀箱的容积应考虑封装容器体积膨胀所排挤的载冷剂。由于冰水相变体积膨胀率约
9%,所需容纳载冷剂的箱体体积颇大,应特别给予注意。
(2)管道系统
管道系统阀门的密封性要良好,不应有内漏或外漏。泵轴部位的密封性要好,乙二醇水溶液管道不允许采用镀锌钢
管,锌与乙二醇发生化学作用。 施工时应特别注意管道内部清洁,以防造成板式换热器或蓄冰盘管堵塞。施工完毕应仔细清
洗管道系统,清除铁锈及其他杂物。对于金属管的清洗过程为:
①用清水在系统内循环1~2小时,然后排空。
②将浓度为10g/l的环元偏磷基苏打水注水系统,循环2小时。
③用清水多次漂洗。
④注入乙二醇水溶液。
蓄冰槽中的水质也应予以关注。虽然在冰点温度附近,水的结垢和腐蚀作用均很小,一般不需要水处理。但是,要注意控制藻类的生长和铁细菌的扩展。