一、受力特点
(1) 在独基加防水板基础中,防水板一般只用来抵抗水浮力,不考虑防水板的地基承载能力。独立基础承担全部结构重量并考虑水浮力的影响。
(2) 作用在防水板上的荷载有地下水浮力qw,防水板自重qs及其上建筑做法重量qa,在建筑物使用过程中由于地下水位变化,作用在防水板底面的水浮力也在不断改变,根据防水板所承担的水浮力的大小,可将独立柱基加防水板基础分为以下两种不同情况:1)当qwqs+qa时(注意:此处的qw,qs和qa均为荷载效应基本组合时的设计值,即水浮力起控制作用时的荷载设计值,而不是荷载标准值),建筑物的重量将全部由独立基础传给地基(图1a);2)当qwqs+qa时,独立基础底面的部分地基反力转移至防水板,并以水浮力的形式直接作用在防水板底面,这种地基反力的转移对独立基础的底部弯矩及剪力有加大的作用,并且随水浮力的加大而增加(图1b)

(3) 在独基加防水板基础中,防水板是一种随荷载情况变化而变换支承情况的复杂板类构件,当qwqs+qa时(图1a),防水板及其上部重量直接传给地基土,独立基础对其不起支承作用;当qwqs+qa时(图1b),防水板在水浮力的作用下,将净水浮力(qw-(qs+qa))传给独立基础,并加大了独立基础的弯矩数值。
二、计算原则
在独基加防水板基础中,独立基础及防水板一般可单独计算。
2.1防水板计算
1.支承条件:防水板可简化成四角支承在独立基础上的复杂受力双向板(支承边长度与独基尺寸有关)(图2)。
2.设计荷载(图2):
1)重力荷载,一般包括防水板自重、防水板上部的填土重量、建筑地面重量、地下室地面的固定设备重量等;
2)活荷载,一般包括地下室地面的活荷载、地下室地面的非固定设备重量等;
3)水浮力,可按抗浮设计水位确定。

3.荷载分项系数:当地下水水位变化剧烈时,水浮力荷载分项系数按可变荷载分项系数确定,取1.4;反之按永久荷载分项系数确定,取1.35。注意防水板计算时,应根据重力荷载效应对防水板的有利或不利情况,合理取用永久荷载的分项系数,当防水板由水浮力效应控制时应取1.0。
4.防水板应采用相关程序按复杂楼板计算,也可按无梁楼盖双向板计算。
5.无梁楼盖双向板计算的经验系数法
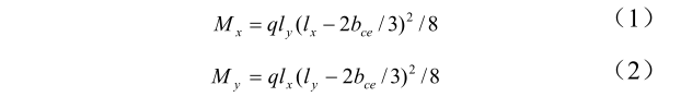
(1)按图3确定防水板柱下板带及跨中板带的划分 (2)防水板柱下板带及跨中板带弯矩的确定 按经验系数法计算时,应先算出垂直荷载产生的板的总弯矩设计值,然后按表1确定柱下板带和跨中板带的弯矩设计值。x, y向的总弯矩设计值按下式计算:

式中,q为相应于荷载效应基本组合时,垂直荷载设计值;lx,ly分别为等代框架梁的计算跨度,即柱子中心线之间的距离;bce为独立基础在计算弯矩方向的有效宽度(见图4)。


2.2独立基础的计算
合理考虑防水板水浮力的影响,是独立基础计算的关键。在结构设计中可采用包络设计的原则,按下列步骤计算。
1.qwqs+qa时,可直接按地基规范的相关规定进行计算,此部分的计算主要用于地基承载力的控制,相应的基础内力一般不起控制作用,仅可作为结构设计的比较计算。
2.当qwqs+qa时
(1)将防水板的支承反力(取最大水浮力计算),按四角支承的实际长度(也就是防水板与独立基础的交接线长度。当各独立基础平面
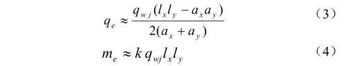
尺寸相近或相差不大时,可近似取图4中的独立基础的底边总长度)转化为沿独立基础周边线性分布的等效线荷载qe及等效线弯矩me(见图4),并按下列公式计算:

中,qwj为相应于荷载效应基本组合时,防水板的水浮力扣除防水板自重及其上地面重量后的数值(kN/㎡);ax,ay为独立基础在x,y向的底面边长(m);k为防水板的平均固端弯矩系数,可按表2取值;其中


(2)根据矢量叠加原理,进行在普通均布荷载及周边线荷载共同作用下的独立基础计算,简图见图5,过程如下:

1) 独立基础基底反力引起的内力计算,按地基规范的相关规定,进行普通均布荷载作用下独立基础的内力计算,注意此处均布荷载中应扣除防水板分担的水浮力,以图5柱边缘剖面A-A为例,计算弯矩为MA1(按地基规范公式(8.2.7-4)计算)、剪力为VA1。
2) 防水板对独立基础的基底边缘反力引起的附加内力计算,根据结构力学原理,进行周边线荷载作用下独立基础的内力计算;以图5柱边缘剖面A-A为例,计算弯矩为MA2=[qe(b-d)/2+me]l、剪力为VA2 =qel。
3) 将两部分内力叠加,进行独立基础的各项设计计算。
3.取上述1和2的大值进行独立基础的包络设计。
三、构造要求
为实现结构设计构想,防水板下应设置软垫层,确保防水板不承担或承担最少量的地基反力,软垫层应具有以下两方面的特点:
1)软垫层应具有一定的承载能力,至少应能承担防水板混凝土浇注时的重量及其施工荷载,并确保在混凝土达到设计强度前不致产生过大的压缩变形;
2)软垫层应具有一定的变形能力,避免防水板承担过大的地基反力,以保证防水板的受力状况和设计相符。
工程设计中软垫层的做法大致如下:
1)防水板下设置焦渣垫层,利用焦渣垫层所具有的承载力承担防水板及其施工荷载重量,并确保在防水板施工期间不致发生过大的压缩变形,同时,在底板混凝土达到设计强度后,具有恰当的可压缩性。受焦渣材料供应及其价格因素的影响,焦渣垫层的应用正在逐步减少;
2)防水板下设置聚苯板。近年来随着独立柱基加防水板基础应用的普及,聚苯板的应用也相当广泛,由于其来源稳定,施工方便快捷且价格低廉,在工程应用中获得比较满意的技术经济效果。聚苯板应具有一定的强度和弹性模量,以能承担基础底板的自重及施工荷载。
四、结构设计的相关问题
(1)软垫层设计中对聚苯板性能的控制问题是关系独立基础加防水板受力合理与否的关键问题。
(2)需要说明的是,结构设计中常有忽略防水板的水浮力对独立基础的影响,而只按独立基础基底反力引起的弯矩计算,其基底弯矩设计值偏小,不安全。当地下水位较高时,影响更为明显。
(3)采用软垫层后对地基承载力的深度修正影响问题。
五、设计建议
(1)建议在软垫层设计中,采取控制软垫层强度和变形的结构措施,如根据设计需要提出聚苯板的抗压强度和压缩模量指标(抗压强度一般取压缩量为试件总厚度的10%时的强度值)。
(2)软垫层厚度h可根据地基沉降数值s确定,且应满足hs。
(3)当地下水位较高(qwqs+qa)时,应考虑防水板承担的水浮力对独立基础弯矩的增大作用,并可采用矢量叠加原理进行简单计算。
(4)应特别注意对独立基础计算埋深的修正。
(5)应注意独基加防水板基础与变厚度筏板基础的区别。
(6)当地下水位不高时,应尽量采用较小厚度的防水板,以控制防水板的配筋略大于防水板的构造配筋为宜。
六、特别说明
6.1 独基加防水板基础暂未列入相关结构设计规范中,上述结构设计的原则和做法均为编者对实际工程的总结和体会,供读者在结构设计中参考。
6.2 在可不考虑地下水对建筑物影响时,对防潮要求比较高的建筑,常可采用独立基础加防潮板,防潮板的位置(标高)可根据工程具体情况而定:
(1)当防潮板的位置在独立基础高度范围内(有利于建筑设置外防潮层,并容易达到满意的防潮效果)时,上述独立基础加防水板设计方法同样适用。
(2)当防潮板在地下室地面标高处时,防潮板变成为非结构构件,一般可不考虑其对独立基础的影响,但注意框架柱在防潮层标高处应留有与防潮层相连接的胡子筋。 6.3 结构设计应采用抗浮设计水位,而不是防水设计水位。 6.4 关于结构的抗浮设计
当抗浮设计水位较高时,结构的抗浮设计往往存在较大的困难,尤其是纯地下车库或地下室层数较多而地上层数很少时,问题更为严重。
抗浮设计常用的方法有:
1)自重平衡法:采用回填土、石或混凝土(或重度30kN/m3的钢渣混凝土)等手段,来平衡地下水浮力;
2)抗力平衡法:设置抗拔锚杆或抗拔桩,来消除或部分消除地下水浮力对结构的影响;
3)浮力消除法:采取疏、排水措施,使地下水位保持在预定的标高之下,减小或消除地下水对建筑(构筑)物的浮力,从而达到建筑(构筑)物抗浮的目的;
4)综合设计方法,即:根据工程需要采用上述两种或多种抗浮设计方法,采取综合处理措施,实现建筑(构筑)物的抗浮。
方法1)和2),从工程角度属于抗的范畴,能解决大部分工程的抗浮问题,但对地下水浮力很大的工程,投资大,费用高。而设计方法3)则属于消的范畴,处理得当,可以获得比较满意的经济、技术效果。一般情况下,当地下水位较高,建筑物长期处在地下水浮力作用下时,宜采用自重或抗力平衡法;当地下水位较低,建筑物长期没有地下水浮力作用或水浮力作用的时间很短、概率很小(虽然其有可能在某个时间出现较高的水位)时,宜采用浮力消除法。采用抗和消相结合的设计方法,对于防水要求不是很高的大面积地下车库等建筑尤为适合。
采用浮力消除法的相关问题:1)地下室底板宜位于弱透水层;2)地下室四周及底板下应设置截水盲沟,并在适当位置设置集水井及排水设备;3)设置排水盲沟,应具有成熟的地方经验,必要时应进行相关水工试验。应采取确保盲沟不淤塞的技术措施(如设置砂砾反滤层,铺设土工布等),并加以定期监测和维护,保证排水系统的有效运转。