工程桩桩端持力层为第9层粉质黏土,桩端进入该层1m。单桩承载力特征值应4500kN。该工程现场变压器已限定,在整个用电设计中,充分利用了桩机间歇的时间和避免桩机同时起动等措施,最大限度地利用了给定电压,提前完成了施工任务。

1、总体安排
(1)工地临时用电由总配电室配电柜中接出,现场设两个配电柜;
(2)施工现场设三级配电,二级漏电保护,仪表齐全,做到一箱、一闸、一漏、一锁、一机;
(3)导线采用YJV电缆直埋方式敷设。

2、主要施工用电机械设备
主要施工用电机械设备有:
CZ-22型冲击钻机6台,功率50kW;QJ40型钢筋切断机1台,功率3kW;BX1-250型电焊机4台,视在功率35.3kVA;UN2-100型对焊机1台,视在功率100kVA;压浆机系统1套,功率7.5kW;照明用电,功率15kW。

3、负荷计算
该工程为桩基施工阶段,主要用电机械为冲击钻机,现场需要系数为KX=0.4,cos=0.65。
(1)不同暂载率的用电设备的容量换算:
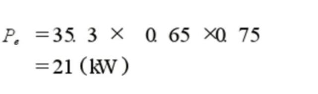
电焊机:

对焊机:

(2)单相用电设备的不对称容量换算:
三相设备总容量:

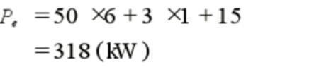
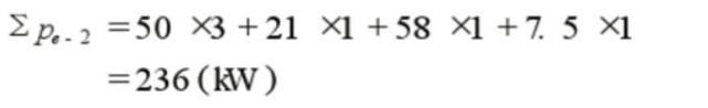
将3台电焊机接在1号分配电箱内,21x3=63(kW);将1台电焊机、1台对焊机接在2号配电箱内,21x1+58x1=79(kW)。
因为:79-63=16(kW),318x15%=47.7(kW)47kW,所以不换算。
(3)所有用电设备的总设备容量及计算负荷:
总设备容量:

施工现场的计算负荷
有功计算负荷:

无功计算负荷:

视在计算负荷:

施工现场总电流:

总配电箱至第1分配电箱的计算负荷
机械设备:冲击钻机3台,电焊机3台,钢筋切断机1台,照明灯生活用电15kw。
施工需要系数:K0=0.7,cos=0.65

有功计算负荷:

无功计算负荷:

视在计算负荷:

分配电箱电流:

总配电箱至第2分配电箱的计算负荷
机械设备:冲击钻机3台,对焊机1台,电焊机1台,压浆系统1套。
施工需要系数:K0=0.7,cos=0.65。

有功计算负荷:

无功计算负荷:

视在计算负荷:

分配电箱电流:

4、配电导线的选择
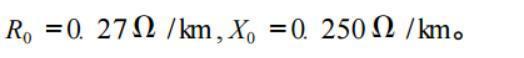
(1)总配电箱至第1分配电箱的导线截面:

查表,选用YJV-3185mm2+290mm2。
按电压损失校验,此段距离L=50m,取几何均距为0.3m。
查表得:
可知:

因为3.15%
(2)总配电箱至第2分配电箱的导线截面:

查表,选用YJV-3185mm2+290mm2。按电压损失校验,此段距离L=50m,取几何均距为0.3m。
查表得:

可知:

因为3.15%
(3)各用电设备导线截面:查《施工现场临时用电安全技术规范》,负荷和开关电器选择见表。

5、各配电箱内开关电器的选择
(1)总配电箱内开关电器的选择:
总箱内设HR3-600/300型总隔离开关1个,加护罩380V。
DZ20Y-400型分路空气开关3个。
(2)第1分配电箱内电器的选择:
HR5-400型分箱隔离开关1个,加护罩380V。
DZ20L-250/4300型分路漏电保护器6个。
(3)第2分配电箱内电器的选择:2分配电箱内配置同第1分配电箱。
(4)各机械设备及照明开关箱内电器的选择:各设隔离开关1个、漏电保护器1个。