工艺过程:张拉固定预应力筋浇筑混凝土养护(至75%强度)放张预应力筋。

一、先张法的施工设备
(一)台座
1.墩式台座
以混凝土墩作承力结构的台座称墩式台座,一般用于平卧生产的中小型构件,如屋架、空心板和平板等。生产空心板、平板等平面布筋的混凝土构件时,由于张力不大,可利用简易墩式台座,如图5-2所示。生产中型构件或多层叠浇构件时,多用如图5-3所示的墩式台座,台座局部加厚,以承受部分张拉力。墩式台座是由传力墩、台面、横梁组成。


2.槽式台座
槽式台座由端柱、传力柱、柱垫、横梁和台面等组成,既可承受张拉力,又可作蒸汽养护槽,适用于张拉力较大的大型构件,如吊车梁、屋架等,如图5-4所示。

(二)夹具与张拉机具



2.张拉夹具

3.夹具的要求
夹具本身须具备自锁和自锚能力,自锁即锥销、齿板或楔块打入后不会反弹而脱出的能力;自锚即预应力筋张拉中能可靠地锚固而不被从夹具中拉出的能力。同时,先张法用夹具的静载锚固性能,应符合Ⅰ类锚具的效率系数a大于或等于0.95的要求。同时,夹具还应具有安全的重复使用性能。
(三)张拉设备
1.手动卷筒式张拉机
手动卷筒式张拉机的构造是将手摇绞车装在小钢轨道上,钢丝绳卷在卷筒上,卷筒与齿轮联结,齿轮上方装有锥销及制动爪;钢丝绳另一端串联弹簧测力计和嵌式夹具。
手动卷筒式张拉机的使用方法:摇动手柄,齿轮带动卷筒顺转,张拉钢丝;提起锥销及制动爪,齿轮倒转,松开钢丝。其具体操作是将钢丝夹在嵌式夹具上转动卷筒,张拉钢丝张拉到预定张拉力值,停止摇手柄,固定钢丝提起锥销制动爪,卷扬机倒转松开夹具,取出钢丝,张拉完毕。
2.电动卷筒式张拉机
电动卷筒式张拉机是把慢速电动卷扬机装在小车上制成。其优点是:张拉行程大,张拉速度快。可张拉直径3~5mm的钢丝。 为了控制张拉力准确,张拉速度以1~2m/min为宜,张拉机与弹簧测力计配合使用时,宜装行程开关进行控制,使达到规定的张拉力时能自动停车。
3.电动螺杆张拉机
电动螺杆张拉机既可以张拉预应力钢筋也可以张拉预应力钢丝。它是由张拉螺杆、电动机、变速箱、测力装置,拉力架、承力架和张拉夹具等组成。最大张拉力为300~600 kN,张拉行程为800 mm,张拉速度2 m/min,自重400 Kg。为了便于工作和转移,将其装置在带轮的小车上,电动螺杆张拉机的示意图如图5-9所示。

4.油压千斤顶
油压千斤顶可张拉单根预应力筋或多根成组预应力筋。多根成组张拉时,可采用四横梁装置进行,见图5-10。

二、先张法的施工工艺
先张法施工工艺流程如图5-11所示。

(一)预应力筋的张拉
预应力筋张拉应根据设计要求进行。预应力筋的张拉有单根张拉和多根成组张拉,单根张拉所用设备构造简单,易于保证应力均匀,但生产效率低,而且对预应力筋过密或间距不够大时,张拉和锚固较困难。张拉控制应力:张拉时的控制应力应按设计规定。最大张拉控制应力不得超过表5-1的规定。

1.张拉程序
预应力筋的张拉程序:

第一种张拉程序中,超张拉5%并持荷2 min,其目的是为了在高应力状态下加速预应力松弛早期发展,以减少应力松弛引起的预应力损失。第二种张拉程序中,超张拉3%,其目的是为了弥补预应力筋的松弛损失,这种张拉程序施工简单,一般多被采用。以上两种张拉程序是等效的,可根据构件类型、预应力筋与锚具种类、张拉方法、施工速度等选用。
第二种张拉程序,超张拉 3%是为了弥补应力松弛引起的损失,根据国家建委建研院常温下钢筋松弛性能的试验研究一次张拉05con,比超张拉持荷再回到控制应力01.05con5con(持荷2 min)应力松弛大 2~3%,因此,一次张拉到1.035con后锚固,是同样可以达到减少松弛效果的。且这种张拉程序施工简便,一般应用较广。
2.张拉力
根据设计的张拉控制应力con、预应力筋的截面积Ap和张拉程序中所规定的超张拉系数m,即可求出预应力筋的张拉力Fp:
式中,m为超张拉系数,取1.03或1.05;
con为预应力筋张拉控制应力(N/mm2);
Ap为预应力筋截面面积(mm2)。
(二)混凝土的浇筑与养护
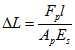
3.张拉伸长值校核
用应力控制张拉时,为了校核预应力值,在张拉过程中应测出预应力筋的实际伸长值,如实际伸长值比计算伸长值大于10%或小于5%,应暂停张拉,查明原因并采取措施调整后,方可继续张拉。
预应力筋的计算伸长值L(mm),可按下式计算:

式中,Fp为预应力筋的平均张拉力(kN),直线筋取张拉端的拉力;两端张拉的曲线筋,取张拉端的拉力与跨中扣除孔道摩阻损失后拉力的平均值;
Ap预应力筋的截面面积(mm2);
l 为预应力筋的长度(mm);
Es为预应力筋的弹性模量(kN/mm2)。
预应力筋张拉完后,即应绑扎骨架、立模、浇筑混凝土。确定预应力混凝土的配合比时,应尽量减少混凝土的收缩和徐变,以减少预应力损失。收缩和徐变都与水泥品种和用量、水灰比、骨料孔隙率、振动成型等有关。
预应力筋张拉、绑扎和立模工作完成之后,即应浇筑混凝土,每条生产线应一次浇筑完毕。
预应力混凝土可采用自然养护或湿热养护。一般可采用两次升温的措施:初次升温应在混凝土尚未结硬、未与预应力筋粘结时进行,初次升温的温差一般可控制在20 ℃以内;第二次升温则在混凝土构件具备一定强度(7.5~10MPa),即混凝土与预应力筋的粘结力足以抵抗温差变形后,再将温度升到养护温度进行养护,此时,预应力筋将和混凝土一起变形,预应力筋不再引起应力损失。
(三)预应力筋放张
1.放张顺序
预应力筋的放张顺序,应符合设计要求,当设计无要求时,应符合下列规定:
(1)对承受偏心预压力的构件(如梁),应先同时放张预压力较小区域的预应力筋,再同时放张预压力较大区域的预应力筋。
(2)对承受轴心预压力的构件(如压杆、桩等),所有预应力筋应同时放张。
(3)如不能满足上述要求时,应分阶段、对称、相互交错的进行放张,以防止在放张过程中,构件产生翘曲、裂纹及预应力筋断裂等现象。
2.放张方法
配筋不多的中小型钢筋混凝土构件,钢丝可用砂轮锯或切断机切断等方法放张。配筋多的钢筋混凝土构件,钢丝应同时放张,如逐根放张,则最后几根钢丝将由于承受过大的拉力而突然断裂,易使构件端部开裂。放张后预应力筋的切断顺序,一般由放张端开始,逐次切向另一端。