一、土方量计算
方格网法计算场地平整土方量步骤如图1-1所示。

图1-1 方格网法计算场地平整土方量步骤
(一)读识方格网图

图1-2 方格网法计算土方工程量图
(二)确定场地设计标高
1.确定场地设计标高需要考虑的因素
(1)满足生产工艺和运输的要求。
(2)尽量利用地形,减少挖填方数量。
(3)争取在场区内挖填平衡,降低运输费。
(4)有一定泄水坡度,满足排水要求。
2.初步计算场地设计标高(按挖填平衡)
计算的场地设计标高:

式中,H11、H12、H21、H22 为一个方格各角点的自然地面标高(m),如图1-3a所示;
M 为方格个数。

式中,H1、H2、H3、H4分别为一个方格、两个方格、三个方格、四个方格共用角点的标高(m),如图1-3b所示。

(三)场地各方格角点的施工高度的计算
施工高度为场地各方格角点设计地面标高与自然地面标高之差,是以角点设计标高为基准的挖方或填方的施工高度。各方格角点的施工高度按下式计算:

式中,hn为各角点的施工高度,即填挖高度(以+为填,-为挖)(m);
n为方格的角点编号(自然数列1,2,3,,n);
Hn为角点的设计标高(m),若无泄水坡时,即为场地的设计标高(m);
H为角点原地面标高(m)。
(四)计算零点位置,确定零线
方格边线一端施工标高为+,若另一端为-,则沿其边线必然有一处不挖不填的点,即零点,如图1-5所示。零点位置按下式计算:


式中,x1、x2为角点至零点的距离(m);
h1、h2为相邻两角点的施工高度(均用绝对值)(m);
a为方格网的边长(m)。
(五)计算方格土方工程量的计算
1.方格的4个角点全为填方或挖方
方格的4个角点全为填方或挖方,如图1-7所示。

其计算公式如下:

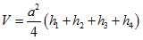
2 . 两个点填方,两个点挖方
方格的相邻两个角点为填方,另外两个点为挖方,如图1-8所示。

其计算公式如下:
①挖方部分土方量计算公式:

②填方部分土方量计算公式:

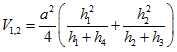
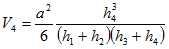
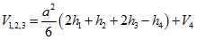
3 . 方格的3个角点为挖方(填方)
方格的3个角点为挖方(填方),如图1-9所示。

其计算公式如下:
①一个角点部分的土方量:

②三个角点部分的土方量:

(六)边坡土方量的计算
了保证挖方土壁和填方区的稳定和施工安全,场地挖方区和填方区的边沿都需要做成边坡,其平面图如图1-10所示。

二、土方调配
土方调配是土方工程施工组织设计(土方规划)中的一个重要内容,在平整场地土方工程量计算完成后进行。
土方调配的原则:力求达到挖方与填方平衡和运距最短的原则;近期施工与后期利用的原则。进行土方调配,必须依据现场具体情况、有关技术资料、工期要求、土方施工方法与运输方法,综合上述原则,并经计算比较,选择经济合理的调配方案。
调配方案确定后,绘制土方调配图如图1-14所示。
在土方调配图上要注明挖填调配区、调配方向、土方数量和每对挖填之间的平均运距。图中的土方调配,仅考虑场内挖方、填方平衡。A为挖方,B为填方。
