膨胀加强带的设置
1.膨胀加强带的作用.
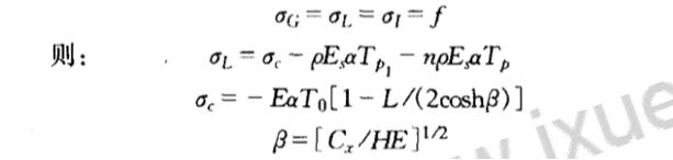
膨胀混凝土在混凝.土硬化过程.中产生适当膨胀.,.在钢筋的邻.位约束下,.在混凝土中建立起一定的自应力,.其自应力值按式计算:

其中,.c为混凝土.自应力;.为截面配筋率;Es为钢筋的弹.模;.为混凝土限制膨胀率。由式可知,.在配筋率和钢筋弹性.模量确定的情况下,.膨胀混凝土自应力与膨胀率成正比。这样膨.胀加强带部位的.自应.力增大.,.对温度.收缩.应力补偿.能力增大,防.止超长结构开裂,其原理如图所示:

图中,超长混凝.土使用普通混凝土的温度收缩应力曲线为.ABCDE,.其应力从两边.向中间增长到.B,.D.两点时.,f(.混凝土.抗拉强度),.开始发生开裂,.释放能量;.仅采用小掺量膨胀混凝土.进行补偿的超长混凝土结构,.能够抵消部分温度收缩应力,.其温度.收缩应力曲线为FGHIJ,.应力从两边向中间随结构长度延伸而增长,.达到.G、I两点时,.f,.开始发生开裂,.掺膨胀剂的混凝土达.到开裂时的结构长度较普通混凝土延长,.起到一定补偿作用。
当大面积采用小掺量膨胀剂混凝土,.适当部位局部加大膨胀剂量.形成膨胀加强带,.对超长混凝土结构进行叠加式重复补偿时,.其.温度应力曲线为.FKLMJ,.当温度应力从两边向中间逐渐增长,.到.达膨胀加强带部位(K,.M)时,.由于加强带部位储存较大自应力.(.或膨胀能).对其进行补偿,.使其应力降低,.然后随长度增加重新.增长,.但最终结构中部最大应力值小于混凝土抗拉强度,即..f,.保证超长混凝土结构不开裂,.这就是膨胀加强带的主要作用
2膨胀加强带数量的确定
膨胀加强带的数量及位置的确定应根据超长混凝土结构的特点、温度收缩应力的大小进行综合分析,在工程误差要求的前提下,将次要因素忽略,简化其应力曲线,以便进行计算。
在上图中,当普通膨胀混凝土温度收缩应力从两边增长到G,J两点时,两点的拉应力达到混凝土的抗拉强度,如再增长结构就会发生开裂,必须在G,J两点增设膨胀加强带,进一步降低拉应力,增设加强带后,G,J两点的拉应力降低到K,M点,温度收缩应力从K,M两点重新增长,但结构中点L处最大拉应力不超过混凝土抗拉强度,结构不会发生开裂。这样G,L,I三个临界点拉应力为:

联立以上四式,可得:

即可确定膨胀加强带的数量。其中,n为膨胀加强带的数量;f为混凝土的抗拉强度,MPa;E为混凝土的弹性模量;为混凝土的线膨胀系数,110-5;为泊松比,取0.15(单向受力时可不考虑);cosh为双曲余弦函数;Cx为水平阻力;H为结构长条板板厚;L为结构长条板板长。
3膨胀加强带的布置原则
1)加强带的数量及位置必须根据公式计算,根据每条加强带的补偿能力确定其数量;
2)加强带的宽度不宜太窄,一般控制在2m~3m;
3)膨胀加强带的位置宜布置在拉应力较大、配筋变化及截面突变的部位及应力集中部位;
4)结构长度达到70m以上时,无论计算是否需要加强带,都均要设置加强带。
4膨胀加强带的构造形式
1)连续式膨胀加强带构造。如图所示,在收缩应力集中的位置,设置膨胀加强带,其宽度2m~3m,带两侧架设密孔铁丝网,目的是为防止两侧混凝土流人加强带。施工时,带外侧用小膨胀混凝土,到加强带时改用大膨胀混凝土,到加强带另一侧时,又改为小膨胀混凝土。如此循环下去,可连续浇筑100m~150m的超长混凝土结构,不留硬结茬,并在不同结构部位使用不同膨胀性能的混凝土。
2)底板间歇式膨胀加强带构造。当混凝土供应或施工力量达不到连续作业要求而无法连续施工时,可采用如图所示的间歇式膨胀加强带做法。为提高底板后浇加强带部位的防水效果,留置阶梯缝,即先浇混凝土留置阶梯口(绑扎两道钢板网),硬茬需做附加防水处理:底板两头端口竖向加橡胶止水条或钢板,该止水条或钢板应从垫层竖向一直延伸到与外墙钢板相接,防止水平方向水的渗入。下次施工需间隔3d以上,待混凝土达到足够强度后,再浇膨胀加强带大膨胀混凝土,紧接着浇小膨胀混凝土。
3)后浇膨胀加强带构造。当混凝土无法连续施工时,也可以先浇筑加强带两侧的小膨胀混凝土,两边硬茬均留置阶梯缝。间隔3d以上,待混凝土达到足够强度再浇加强带大膨胀混凝土。浇带两头端口竖向加橡胶止水条或钢板,该止水条或钢板应从垫层竖向一直延伸到与外墙钢板相接,防止水平方向水的渗入。