
储油罐工程施工网络计划图
一、双代号网络图的基本概念
1.工作
工作(或称工序、活动、施工过程、施工项目等)是网络图的基本组成部分。
在双代号网络图中,工作由箭线表示。箭线的箭尾表示该工作的开始,箭线的箭头表示该工作的结束。箭线的长度不反映该工作所占用的时间长短。箭头的方向表示工作的前进方向。
箭线宜画成水平直线,也可画成折线或斜线。

2.节点(事件)
在双代号网络图中,节点表示某项工作开始或结束的瞬间。它既不消耗时间也不占用资源。
节点一般用圆圈或其它形状的封闭图形表示,圆圈中编上整数号码。节点的编号,一般应满足箭尾号码要小于箭头号码。
网络图的第一个节点称为起点节点,它表示一项计划(或工程)的开始;最后一个节点称为终点节点,它表示一项计划(或工程)的结束;其它节点都称为中间节点,既是前面工作的完成点,又是后面工作的开始点。
3.线路
线路是指网络图中从起点节点开始,沿箭头方向顺序通过一系列箭线与节点,最后达到终点节点的通路。
从下图可以看出,该网络图有3条线路,即:
12356
123456
12456

通常把各线路中总的工作持续时间最长的线路称为关键线路。
位于关键线路上的工作称为关键工作。
关键线路以外的线路称为非关键线路。
在网络图中,关键线路要用双箭线或粗箭线表示,且至少有一条关键线路。
关键线路控制着工程的进度,决定着工程的工期。
关键线路并不是一成不变的。在一定条件下,关键线路和非关键线路可以相互转化。
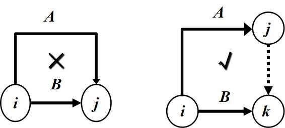
4.虚工作
虚工作是一项虚拟的工作,既不占用时间也不耗用资源,仅仅表示工作之间的逻辑关系。
在网络图中,虚工作用虚箭线表示。
①A、B、C、D四项工作, A、B都结束后, C、D同时开始;
②A、B、C、D四项工作, D必须在A、B都结束后开始, C只需在A结束后开始。

5.紧前工作、紧后工作
紧排在本工作之前的工作为本工作的紧前工作,紧排在本工作之后的工作称为本工作的紧后工作。本工作与本工作的紧前工作(或紧后工作)之间可以出现虚工作。

二、双代号网络图的绘制
1.绘图规则
(1)不允许出现代号相同的箭线:
一项工作应只有唯一的一条箭线和相应的一对节点编号,箭尾的节点编号应小于箭头的节点编号。

(2) 双代号网络图中不允许出现一个以上的起始节点或终点节点。

(3)在网络图中严禁出现循环回路。右图中工作C、D、E 形成了闭合回路,则这个网络图肯定是错误的。

(4)双代号网络图中,严禁出现双向箭线、无箭头箭线和没有箭头(或箭尾)节点的箭线。

(5)网络图中节点编号顺序应从小到大,可不连续(非连续编号可利于以后的修改),但严禁重复。

(6)绘制网络图时,宜避免箭线交叉。当箭线交叉不可避免时,应采用正确的表示方法(过桥法、指向法)。

(7)正确表达已定的逻辑关系


2.网络图的节点编号
①起点节点先编号,所编节点号为本图中的最小号码;
②终点节点后编号,所编节点号为本图中的最大号码;
③中间节点在它的内向箭线的箭尾节点都已编号后,再编号;
④节点编号次序可以跳跃,但不能重号。
3.网络图的逻辑性
网络图的逻辑性主要体现在各工作之间的逻辑关系上。工作之间的逻辑关系包括工艺关系和组织关系。
工艺关系是指生产工艺上客观存在的先后顺序。
组织关系是指在不违反工艺关系的前提下,人为安排的工作的先后顺序。
这些顺序可以根据具体情况,按安全、经济、高效的原则统筹安排。
(1)网络图的排列方法
1)按流水段排列(横向流水)
在网络图中,把同一施工段上的有关工序排列在同一条水平线上的方法。
2)按工种排列(纵向流水)
在网络图中,把同一工种的工作排列在同一条水平线上的方法。
如某工程有三个施工过程,即支模、绑扎钢筋和浇注混凝土,划分为Ⅰ、Ⅱ2个施工段,分别按横向、纵向流水排列网络图如下所示。

(2)网络图的逻辑性
要建立网络图,必须了解工作之间的相互约束关系,建立必要的约束,减少不必要的约束。若划分为3个施工段

4.网络图的绘制
绘制网络图时,首先应根据已知的逻辑关系,确定出其紧后工作或紧前工作,然后再根据所确定的逻辑关系,自左向右地绘出网络图。