一、概述
砂桩于19世纪30年代起源于欧洲。20世纪50年代后期,日本产生了振动式和冲击式的施工方法,处理深度可达30m。砂桩技术自20世纪50年代引进我国后,在工业与民用建筑、交通、水利等工程建设中得到了应用。
砂桩是指用振动或冲击荷载在软弱地基中成孔后,再将砂挤压入土中,形成大直径的密实柱体。
作用:提高地基的强度,减少地基的压缩性,提高地基的抗震能力,防止饱和松散砂土地基的振动液化。
适用土层:松散砂土、人工填土、粉土和杂填土等地基。
适宜建筑:砂桩适用于中小型工业与民用建筑物、散料堆场、码头、路堤、油罐等。
二、加固原理
1、在松散砂土中的作用
(1)挤密作用
(2)振密作用
(3)砂土地基预震作用
对挤密砂桩的沉管法或干振法,由于在成桩过程中桩管对周围砂层产生很大的横向挤压力,桩管体积的砂被挤向桩管周围的砂层,使桩管周围的砂层孔隙比减小,密实度增大。其有效挤密范围约为3~4倍桩体直径。
振动法成桩时,桩管周围土体同时受到挤密和振密作用,其有效振密范围比挤密作用更明显,可达6倍桩体直径。
2、在软粘土中的作用
(1)置换作用
(2)排水作用
砂桩在软弱粘性土中成桩后,地基就变成由砂桩和桩间土共同组成的复合地基。由于密实的砂桩取代了在砂桩体积相等的软土,所以复合地基的承载力比天然地基大,其沉降也就比天然地基小。
砂桩在软弱粘性土地基中构成排水路径,可以起着排水砂井作用,使土层中的水向砂桩集中并通过砂桩排走,加快地基固结沉降速率。
三、设计计算
1、加固范围
应根据建筑物的重要性和场地条件及基础形式而定。对一般基础,在基础外应扩大1~3排;对可液化地基,在基础外缘扩大宽度不应小于可液化土层厚度的1/2,并不应小于5m;对高等级公路,一般应处理至边缘外1~3m。
2、桩位布置
对大面积满堂处理,桩位宜用等边三角形布置,对独立或条形基础,桩位宜用正方形或矩形布置。
3、加固深度
加固深度应根据软弱土层的性能、厚度或工程要求按下列原则确定:
(1)当软土层不厚时,应穿透软土层;
(2)当软土层较厚时,对按变形控制的工程,加固深度应满足砂桩复合地基变形不超过地基容许变形值的要求;
(3)对按稳定性控制的工程,加固深度应不小于最危险滑动面以下2m的深度;
(4)在可液化地基中,加固深度应按要求的抗震处理深度确定;
(5)桩长不宜小于4m。
4、桩径
目前国内采用的桩径一般为0.3~0.7m,国外最大达2m。
5、桩体材料
宜使用中粗混合砂,含泥量不大于5%。桩孔填料量应通过现场试验确定,估算时可按设计桩孔体积乘以充盈系数1.2~1.4确定。
6、垫层
砂桩施工完毕后,地面应铺设30~50cm厚的砂垫层或砂石垫层。
7、桩距计算
粉土和砂土地基,桩距不宜大于桩径的4.5倍;粘性土地基不宜大于桩径的3倍。
(1)砂土和粉土地基
可根据挤密后要求达到的孔隙比e1来确定。
等边三角形布置

正方形布置

式中
s砂桩间距(m);
d砂桩直径(m);
修正系数,当考虑振动下沉密实作用时,可取1.1~1.2;不考虑振动下沉密实作用时,可取1.0;
e0地基处理前砂土的孔隙比,可按原状土样试验确定,也可根据动力或静力触探等对比试验确定;
e1地基挤密后要求达到的孔隙比;
emax、emin砂土的最大最小孔隙比,可按现行国家标准《土工试验方法标准》GB/T 50123的有关规定确定;
Dr1地基挤密后要求达到的相对密实度,可取0.70~0.85。
(2)粘性土地基
等边三角形布置

正方形布置

式中
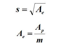
Ae1根砂桩承担的处理面积(m2);
Ap砂桩的截面积(m2);
m面积置换率(一般为0.1~0.3)。
计算步骤:
a.根据所提供的天然地基容许承载力、已确定的砂石桩容许承载力、要求达到的复合地基承载力,利用复合地基承载力计算公式,求出满足上述要求的置换率。
b.按砂(碎石)桩设计直径,计算出砂(碎石)桩截面积。
c.求出一根桩所分担的地基处理面积。
d.求桩间距。
8.复合地基承载力
砂桩复合地基承载力特征值应通过现场复合地基载荷试验确定,初步设计时,也可通过下列方法估算:
(1)砂土地基,可根据挤密后砂土的密实状态,按现行国家标准《建筑地基基础设计规范》GB-50007的有关规定确定。
(2)对粘性土或粉土地基,可按以下公式计算:

式中
fspk砂桩复合地基承载力特征值(kPa);
fpk桩体承载力特征值(kPa),宜通过单桩载荷试验确定;
fsk处理后桩间土承载力特征值(kPa),宜按当地经验取值,如无经验时,可取天然地基承载力特征值;
m 桩土面积置换率;
d 桩身平均直径(m);
de1根桩分担的处理地基面积的等效圆直径;
等边三角形布桩 de=1.05 s
正方形布桩 de=1.13 s
矩形布桩

n 桩土应力比。
四、施工
1、砂桩材料
(1)砂料的选用:级配良好的中粗砂、砾砂;对饱和软粘土,选用级配好、强度高的砂砾混合料。
(2)含水量:饱和土中施工,砂的含水量采用饱和状态;非饱和土中可以直立成桩时,采用7~9%。
2、施工机械
振动式砂石桩机和锤击式砂石桩机。
砂石桩机的设备组成:桩机架、桩管、桩尖、提升装置、挤密装置、上料设备以及检测装置。

3、施工工艺及要点
(1)施工要点
1)当用于消除粉细砂及粉土液化时,宜用振动沉管成桩法。
2)施工时桩位水平偏差不应大于0.3倍套管外径;套管垂直度偏差不应大于1%。
3)施工完毕后,应将基底标高下的松散层挖除或夯实,随后铺设并压实砂石垫层。
(2)施工顺序
1)砂性土地基
从外围或两侧向中间施工,对挤密为主的砂桩间隔施工。
2)淤泥质粘土地基
从中间向外围或隔排施工。
3)邻近存在建筑物时
应背离其方向施工。
4)在路堤和岸坡上
应背离岸边或坡顶方向施工。
(3)振动成桩法
1)施工工艺

2)施工要点
a、试桩,数量7~9根;
b、拔管速度不宜过快,宜在2m/min,排砂要充分;
c、可按下面公式控制每段砂桩的灌砂量;

d、桩管内的砂料应保持一定的高度;
e、桩管排砂不畅时,加大风压。将要拔出地面时,应减小风压,防止砂料外扬;
f、在软粘土中施工时,桩管未入土前,应先在桩管内投砂2~3斗,并复打2~3次。起到挤密桩周土和护壁作用,避免因缩颈而出现夹泥断桩现象。
g、注意贯入和电流曲线变化。
h、施工结束后,应将基底标高下的松土层夯压密实。
(4)锤击成桩法
1)单管法的施工工艺

2)单管法的施工要点
a、以拔管速度控制桩身连续性。拔管速度可根据试验确定,在一般土质条件下,拔管速度应控制在1.5~3.0m/min;
b、根据灌砂量控制桩直径。当灌砂量达不到设计要求时,应在原位复打一次,或在其旁补加一根砂桩。
3)双管法的施工工艺

五、质量检验
(1)对饱和粘性土地基,应间隔28d后进行质量检验,对粉土、砂土和杂填土地基,不宜少于7d。
(2)砂桩的施工质量检验可采用单桩载荷试验,对桩体可采用动力触探试验检测,对桩间土可采用标准贯入、静力触探、动力触探或其他原位测试等方法进行检测。检测数量不应少于桩孔总数的2%。
(3)砂桩地基竣工验收时,承载力检验应采用复合地基载荷试验。试验数量不应少于总桩数的0.5%,且每个单体建筑不应少于3点。

砂桩地基的质量检验标准