一、垫层材料选用
垫层材料:砂、碎石、素土、灰土、粉煤灰、矿渣、加筋土等。
选用原则:因地制宜根据工程的具体条件合理选用。

二、砂垫层厚度及宽度的确定

1、垫层厚度的确定

垫层厚度:0.5m~3m。
表达式:

faz 垫层底面处软弱土层经深度修正后的承载力特征值;
cz 垫层底面处土的自重应力;
z垫层底面处土的附加应力。
地基承载力修正:

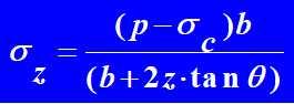
垫层底面处的附加应力z:
条形基础

矩形基础

式中 p基础底面平均压力(kPa);
c基础底面标高处的自重应力(kPa);
l、b基础底面的长度和宽度(m);
z垫层的厚度(m);
垫层的应力扩散角。

2、垫层宽度的确定
垫层底面宽度:需满足应力扩散和防止垫层向两侧挤出的要求。

垫层顶面宽度:底宽确定后,可从垫层底面两侧向上,按基坑开挖期间保持边坡稳定的当地经验放坡确定,垫层顶面每边超出基础底边不宜小于300mm。
三.沉降计算

式中 s基础沉降量;
s1垫层自身变形量;
s2压缩层厚度范围内(自垫层底面算起)各土层压缩变形之和。
对于碎石、卵石、砂夹石、砂和矿渣等粗粒换填材料的垫层由于在施工期间垫层自身的压缩变形已基本完成,且量值很小,因而在地基变形计算中,可以忽略该部分;但对于细粒材料,尤其是厚度较大的换填垫层,则应计入垫层自身的变形。
s1计算中,应力可取垫层顶面和底面压力的平均值。一般砂垫层Es=20--30MPa;粉煤灰则Es=8--20MPa,碎石、卵石为30--50MPa。无论是地基还是垫层,其沉降计算均可传统分层总和法计算。