一、办公区排水
1、检查办公室、宿舍及料库屋面有无漏雨现象,对漏雨的部位及时修理完好。
2、室外地面全面硬化,道路场地等排水坡向正确、排水沟畅通无阻,确保施工现场无积水。
二、施工现场排水
1、雨季来临前,着重检查工程重点防范部位地下楼层,沿主体四周地面设置300500(bh)排水明沟,下雨时配备水泵进行集水坑排水,并将水排到地面上的排水沟中。
2、整理施工现场,保证排水畅通。
3、检查场内外的排水设施,确保排水设备完好,以保证暴雨后能在较短的时间排出积水。根据实际情况,利用施工现场的集水井就近为原则作为现场排水集中点。
三、生活区
1、雨期来临之前项目后勤人员应对生活区的临时房屋进行检查,检查内容主要包括:是否存在漏雨、稳固、雷击等隐患,发现问题及时进行整改。
2、检查食堂、厕所等的排水沟,及时疏通污水管道。大雨来临前要清理化粪池,避免化粪池因大雨袭击而溢出。
3、施工现场人员宿舍、围墙等的基础应高出自然地面300mm以上,并用灰砂砖做大放脚,以保证该部分结构的安全。室内地面应高出室外100mm以上,防止雨水等浸入。
四、原材料及半成品的储存和堆放
1、钢筋在施工现场进行堆放时,应放置于地势较高,不受雨水侵蚀的位置,同时钢筋下部采用木方等材料垫高不小于200mm。对于加工成型的钢筋,应尽量放置于钢筋加工棚内的避雨水处,防止钢筋被雨水腐蚀生绣。
2、水泥要搭设库房,做好库房的防雨工作及地面的防潮工作,防止受潮。 其它材料应根据材料的性质采取相应的堆放措施。
3、所有材料均要求堆放在基坑边坡外不少于3m的安全地方,应不得在边坡旁堆放易散落的材料。
五、土石方工程
1、刚铺完尚未夯实的灰土,雨期土方回填施工应严格控制回填土的含水率,
及时取样试验,将回填土的含水量控制在设计要求范围内,如含水量偏高,可采用翻松、晾晒或均匀掺入干土等措施;必要时应事先对土源加以覆盖,避免出现橡皮土。
2、如遭雨水淋浸泡,则应将积水处的松软灰土除去并重新补填新灰土夯实,受浸湿的灰土,应在晾干后再夯打密实。石灰、土要准备好塑料薄膜遇雨时进行覆盖。
六、边坡工程
1、雨期施工时禁止在边坡一米范围内堆放材料。
2、在雨期施工前检查边坡是否有偏移、裂纹,并用水泥砂浆找坡坡向排水沟,保持边坡四周无积水。
3、做好坡边沉降记录,遇到大雨以上天气应随时测量。
七、钢筋工程
1、钢筋根据工程进度适量进场,钢筋原材存放不得过多,现场的原材料应做到先进场的先使用,后进场的后使用,避免存放时间过长而使钢筋锈蚀严重,锈蚀和污染的钢筋须清理后方可使用,进入现场的钢筋原材及成品钢筋要分规格堆放整齐,并垫离地面200mm以上,遇雨时用塑料布临时加以遮盖。
2、雷雨天气严禁进行焊接工作,若遇特殊情况施焊时,必须有必要的防雨措施,防止雨水淋湿焊接接头造成钢筋连接性能的改变,从而影响工程质量。
3、绑扎完成的钢筋如遇雨天,雨后钢筋视情况进行除锈除污,不得把锈蚀及粘上污泥的钢筋用于工程中。
八、模板工程
1、现场堆放的模板、木方要码放整齐,并垫离地面200mm以上,用苫布盖好,避免因日晒雨淋引起变形。
2、支立好的墙模,如遇大雨未浇筑混凝土,应进行遮盖,防止因雨淋而造成脱模剂的失效。雨后要认真检查其平整度、垂直度和脱模剂附着情况,合格后方可浇筑混凝土。
九、混凝土工程
要准确掌握天气预报,混凝土浇筑尽量避开雨天,如遇时应采取如下措施: 1、混凝土浇筑中遇到大雨时,将已浇筑的混凝土振捣密实并根据规范要求在合适位置及时留置施工缝后立即停止浇筑,并用塑料布覆盖,并将塑料布与钢筋绑扎牢固,防止被风吹走。顶板混凝土浇筑中如遇小雨时及时振捣抹压和覆盖,保证水泥浆不流失。
2、雨后对临时施工缝加强处理,将留浆、薄弱处剔除,将梁、板、墙中的污物、积水清理干净经过验收后方可继续浇筑混凝土。
3、为把好混凝土质量关,雨期施工期间,要求混凝土搅拌厂家根据砂、石的实际含水率及时调整混凝土的用水量,保证混凝土的质量。并定期派人去搅拌站检查其砂、石堆料场,水泥仓库,检查砂、石的含泥量,水泥的防雨情况。严禁将含泥量超标的砂、石和失效的水泥用于工程中。
十、砌筑抹灰工程
1、雨季期间砌筑前,要检测各种砖或砌块的含水率。既不要干砖上墙,又要防止过量吸水。要防止砌块被雨水淋得太湿或被雨水浸泡,下雨时要用塑料布将砌块(砖)覆盖,含水量较多的砌块(砖)应待适当晾干后再用。遇中、大雨时应停止施工,砌筑表面应采取防雨措施。
2、砌筑时如出现浆水顺墙面流淌现象,说明砌块(砖)的含水量达到饱和,则应选择干砖与湿砖搭配砌筑,或用稠度较小的砂浆。
3、水泥应入库存放,库内地面应砌筑高于室外地面300mm的砖地垄墙,在墙上铺脚手板,铺垫油毡,防止水泥受潮。水泥库四周要进行有效维护,并挖好排水沟,防止雨水流入库内。
4、砂石堆场要有良好的排水措施,防止下雨时泥土流入砂场内。
5、砂浆搅拌应集中,搅拌站应搭设防雨棚,运送砂浆的车辆要作防雨盖以防雨水进入砂浆内。
6、项目试验员根据天气情况,定期对砂、石含水率进行测量,要求施工前对砂、石含水率进行测量,及时调整配合比,严格控制砂浆稠度。
7、下雨时,禁止露天砌筑作业。在零星小雨中必须砌筑时,应适当减少砂浆稠度。
十一、屋面工程
1、屋面工程施工赶在雨季时,要密切注意当地近期天气预报,抢晴天施工,严禁在雨中进行防水施工作业。对已施工部位用塑料布进行覆盖;雨后发现防水层被雨水冲刷破坏时,应返工重做。
2、屋面保温材料在运输存施过程中,严禁雨淋并防止受潮。
3、屋面上铺筑保温层时,宜划成小施工段,及时做好上部找平层,以防突然降雨淋湿和浸泡保温层。
4、穿越保温层、找平层的孔洞以及预留锚钩等细部节点,应随时做好临时封闭遮盖,防止雨水侵入。
5、在粘铺防水层时,施工前应根据所用材料的技术工艺要求认真做好找平层含水率的测试和粘结试验,符合技术要求后方可施工,以确保防水层铺粘质量。
6、雨水水落管等应争取及早安装,以防止屋面雨水顺外墙面冲刷,污染外装修。内排水的雨水管安装前,应先做好临时排水道路,防止雨水不能通畅排除而积存在管内。
十二、防水工程
1、外墙防水工程禁止在雨天施工,防水基层含水率必须在规范要求的范围内(4%)。
2、垫层混凝土施工时,按要求做好排水坡度,并在坑边设置积水坑,及时抽水。
3、卫生间、消防泵房等通风不畅部位的防水施工应采取通风和排风措施,保证空气流通,做好个人防护,同时做好防火消防工作。
4、外墙防水施工时,应密切注意边坡土体的稳定性,每次雨后应检查边坡的位移情况,位移较大时应停止施工。
十三、装饰工程
1、室内装修最好在屋面楼地面工程完成后再做,或采取先做地面,堵严各种孔洞、板缝,防止上层向下漏水。并封好窗井口及电梯井口,各层楼梯间作好挡水埂。
2、室外抹灰应及时注意遮盖,防止突然降雨冲刷,降雨时严禁进行外墙面装修作业。
3、安装好的门窗,应有人负责管理,降雨时应及时关闭并应插销,以防止风雨损坏。
4、各种门窗和细木制品以及其它各类龙骨及装饰材料、玻璃、配件等,在运输、存放过程中要严禁雨淋和受潮,以防止粘接、变形或生锈。
5、石膏条板、纸面石膏板、石膏覆面复合板以及其它请质隔墙材料严禁雨淋、浸水和受潮,以防材质变性造成质量隐患。
6、外墙涂料应在晴天组织施工。施工前,应根据所有材料的技术工艺要求,认真测定基层的含水率,符合标准时方可进行涂料施工,以放质量隐患。
十四、幕墙工程
1、不应在大风、大雨气候下进行幕墙施工,雨天以及雨后未干燥情况下不得进行密封胶施工。
2、用于幕墙工程的电气设备及电动工具必须做绝缘电压试验。并在雨期施工前检查其绝缘装置是否完好,不符合要求的要及时整改。
3、上到楼上的铝板和铝塑板必须要固定牢固,防止大风吹下伤人。
十五、临电安全
1、雨季期间应定期、定人检查临电设施的绝缘状况,检查电源线是否有破损现象,发现问题及时处理。
2、现场临时供电线中采用三相五线制配线,机电设备闸箱、灯具、设有防雨淋设施。所有机电设备必须设单一开关,严禁一闸多用,并安装漏电保护器,停工时应拉闸停电,闸箱应加锁,在使用前,应检查和测试。
3、配电箱内必须安装合格漏电保护装置,及时检查漏电保护装置的灵敏性,并随时关好电箱门。
4、从事电气作业人员必须持证上岗,佩带好劳动保护用品,并应两人同时作业,一人作业,一人监护。
十六、塔吊基础及吊装
1、塔吊雨天后应及时进行线路检查和路基检查,并进行空车运转,确定无问题后方可正式吊装。
2、观察基础沉陷情况,并作好观测记录,如有沉降应立即进行处理,保证塔吊使用时的安全。大雨、暴雨及大风时应停止吊装作业。
3、高空操作人员雨后施工,要注意防滑,要穿胶底鞋,不准穿硬底鞋上高空操作。塔吊接地电阻值要进行实测,其电阻值不大于4欧姆。
4、塔吊基础四周挖200mm300mm的排水沟与现场临时排水沟连接,内侧抹灰,沟底向临时排水沟方向设5的流水坡度。
5、塔基上设置四个沉降观测点,定期及雨后进行沉降观测,发生问题及时处理。
十七、脚手架工程
1、 检查外架特别是高处的外架已设计并安装了较完善的避雷装置。
2、雨季防滑,在工作面、马道等人员通行的地方设必要的防滑设施。
3、 在距脚手架外立杆外设一排水沟,及时将雨水排走,以免脚手架基础被雨水浸泡造成地基沉陷。设专人在雨前检查立杆垫木是否有效,有无塌陷;雨后基础有无沉陷,立杆有无下沉,脚手架有无变形,如有不正常之处,须迅速加以加固和修整。
4、 大雨期间,不得进行脚手架的搭设和拆除;大雨、大风后应及时对脚手架进行检查修理,有安全隐患的整改合格后方可投入使用。
5、 脚手架地基应坚实,立杆下应设通长垫木或垫块。
6、 在外架上搭设的回填土施工用的专用通道,必须严格按照JGJ130-2011建筑施工扣件式钢管脚手架安全技术规范中门洞开设的构造要求进行拆除与搭设,同时必须经现场安全员检查验收通过后方可使用。
十八、道路工程
1、搞好施工地段的排水系统,防止雨水长期浸泡路基,下雨时应指派专人巡视,发现积水或阻塞的地方及时疏通放水。在两侧路肩上每隔510m挖一道横向排水沟,将雨水排至边沟。
2、 集中力量,缩短路段,加快施工进展,切忌全面铺开。
二灰碎石施工时,应注意天气变化情况,保证摊铺和碾压成活等工序,抢在下雨之前完成,防止摊搞好的二灰碎石未经碾压即遇雨被灌,无法继续施工。
3、因地制宜,采取必要的防雨措施。压实后的二灰碎石层对防雨能力有一定的功效,因此,当路基成活后,应尽快将砾石层做好,二灰碎石到场后,突然降雨,来不及摊铺碾压时,可临时攒成大堆,表面拍实,或用苫布覆盖。
十九、绿化工程
1、绿化土及排盐淋层施工时如遇下雨天气,立即停止作业,待水分达到要求时再进行施工,防止绿化土被机械碾压成泥。
2、树木、草皮施工时要注意在栽种前不被雨水冲刷,防止自带土被水冲刷掉,导致植物成活率低。
3、土壤施肥避开下雨天气。
二十、设备安装工程
1、对原材料及半成品的防护,能进入仓库或楼层的要垫高码放并保证通风良好,尤其是进场的保温材料严禁被雨淋和浸泡,必须及时采取防雨水等措施。机电库房应有防进水措施,宜在存放电气材料或其他须防潮材料设备的库房设置排风机,保持库房内通风。
2、对露天堆放的材料如管道、或设备应垫高,遇雨时用塑料布覆盖。
3、进场的机电设备开箱后必须要采取防雨措施,并应尽量减少露天存放。
4、设备预留孔洞应做好防雨措施,如施工现场地下部分的设备已安装完毕,要采取措施防止设备受潮、被雨水浸泡。
5、剪板机、套丝机等机电加工设备应有防雨设施。
6、雨天时不应进行室外电焊作业;室内电焊作业应注意作业区的干燥;雨季电焊作业前宜烘干焊条;在狭小空间焊接操作时,应有有效通风措施。
7、雨天不宜进行设备吊装作业。
二十一、防雷击
1、雷电的危害
雷电的危害主要表现在以下几方面:
1)雷电的机械效应:击毁机电设备、杆塔和建筑物,伤害人畜。
2)雷电的热效应:烧断导线,烧毁电气设备。
3)雷电的电磁效应:产生过电压,击穿电气绝缘,甚至引起大火和爆炸,造成人身伤亡。
4)雷电的闪烙放电:烧坏绝缘子、断路器,跳闸造成线路停电或引起大火。
5)雷电的活动是客观存在,是不可避免的自然灾害,不以人的意志为转移的,必须采取必要的措施,因此防止雷害的工作是重要环节。
2、防雷击措施
1)为保护建筑物、机电设备、人、畜免受雷电破坏及伤害,一般采取装设避雷针、避雷带、避雷器、引下线及接地极组作防雷电保护。
2)建筑施工工地的临时工棚、施工作业平台、宿舍,要求按实际情况采取防雷接地保护措施。设置避雷针、引下线及接地级组作防雷电保护。
3)要求避雷装置必须有良好接地,必须定期检查测量接地装置的接地电阻,其独立接地极接地电阻不大于4欧,否则应及时处理。
4)对防雷接地装置进行定期巡查,并加强日常维护,重点检查接地线有无损伤、碰断及腐蚀现象。
5)雷电季节内,观察雷电活动的情况,雷电交加天气,施工人员应转移入室内,不得安排露天高空及室外作业。
6)在无法躲入有防雷设施的建筑物内时,应远离树木和桅杆。
7)现场空旷场地不宜打伞,不宜把钢管、铁锹等扛在肩上。
8)不宜进入无防雷设施的临时棚屋、岗亭等低矮建筑。
9)当雷电频繁、闪电强烈时节,人员不得靠近防雷装置,如:避雷针、避雷器、引下线附近,不要在大树下面避雨,切勿接触天线、水管、铁丝网、金属门窗、建筑物外墙,远离电线等带点设备或其他类似金属装置,以防雷击伤人事故发生。
10)不宜使用无防雷措施或防雷措施不足的用电设备。
11)切勿站立于楼顶上或接近导电性高的物体。切勿处理开口容器盛载的易燃物品。
3、机械设备防雷措施
塔吊等现场施工设备安装时应做好接地,建筑工程基础形成后,塔吊须和地基防雷接地做好共地连接。塔吊供电系统电源PE线和塔吊做共地处理。外用电梯导轨顶端、底部分别接地。配电箱内安装适配的电涌保护器(SPD)。
4、脚手架防雷计算
1)按照第三类防雷措施设置, 利用12的钢筋与正式工程的防雷接地系统可靠焊接。专设引下线不应少于两根, 并应沿建筑物四周均匀对称布置, 其间距沿周长计算不宜大于25m。当建筑物的跨度较大,无法在跨距中间设引下线,应在跨距两端设引下线并减小其他引下线的间距, 宜使专设引下线的平均间距不大于25 m 。
2)对于矩形布置的四支等高接闪杆的保护范围, 在h 小于或等于hr的情况下,
当D3 大于或等于

时,
应各按两支等高接闪杆所规定的方法确定;
当D3 小于

时, 应按下列方法确定(见图)。

图 四支等高接闪杆的保护范围
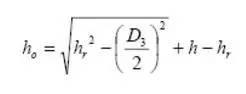
B 、E 接闪杆连线上的保护范围见图4.15.3 的11剖面图,外侧部分按单支接闪杆的方法确定。两杆间的保护范围应按下列方法确定: 以B 、E 两杆杆尖为圆心、hr为半径作弧线相交于O 点, 以O 点为圆心、hr 为半径作弧线, 该弧线与杆尖相连的这段弧线即为杆间保护范围。保护范围最低点的高度ho 应按下式计算:

其中:
ho-----保护范围最低点的高度(m);
hr-----三类防雷滚球半径,按照规范GB50057-2010规定取值(m);
D3-----对角线的长度(m)