
TC:用电线管敷设
SC:用焊接钢管敷设
SR:用金属线槽敷设
CT:用桥架敷设
PC:用硬塑料管敷设
PEC:用半硬塑料管敷设
线路敷设部位代号:
WE:沿墙明敷 WC:沿墙暗敷 CE:沿顶棚明敷 CC:沿顶棚暗敷 BE:沿屋架明敷 BC:沿梁暗敷 CLE:沿柱明敷 CLC:沿柱暗敷 FC:沿地板暗敷 SCC:在吊顶内敷设

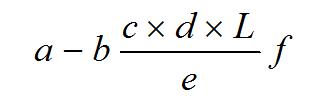
线路在平面图上的表示:
a-b (cd) e - f a :线路编号 b:导线型号 c :导线根数 d :导线截面 e :线路敷设方式 f :线路敷设部位
例: N1 BV-34 SC20 FC 表示:N1回路,3根4mm2的铜芯聚氯乙烯 塑料绝缘线,穿DN20的焊接钢管沿地板敷设

灯具在平面图上的表示:

a :灯具数量 b:灯具型号 c :灯泡数量 d :灯泡容量,W e :灯具安装高度
f :灯具安装方式 (X吸顶,B壁安,G吊杆式,L吊链式,R:嵌入式) L:光源种类

例如此图
表示:2套灯,每套有30W的灯管2个, 吊链式安装,安装高度为2.8m