然而长期以来,由于我国建筑设计和建筑施工单位的严格分工,使占建筑市场绝对多数的施工人员只知道按图施工,对设计图纸及相关图集中那些貌似神秘的结构数据到底是从何而来、如何确定的,或茫然不知、或不甚了了,一些求知欲强,好问知识的建筑从业人员,对有关结构上的问题其实也颇感兴趣,比如梁的截面高度、宽度是怎么确定的、钢筋的锚固长度是怎么确定的等等诸如此类问题,不一而足。有鉴于此,我把一些工程中最为常见的结构性数据的确定依据进行解密,希望对想要了解的朋友们有所帮助。
1、梁截面(高、宽)尺寸的确定
梁最常用的截面形式有矩形和T形。
梁截面的尺寸是有其构造要求的,其确定的依据是梁的高跨比。
(1)框架结构的主梁截面高度:取梁计算跨度的1/10~1/18(高跨比);;梁净跨与截面高度之比不宜小于4。
(2)框架结构的主梁截面宽度:梁的截面宽度不宜小于梁的截面高度的1/4,且不小于200。
按上述构造要求确定梁的截面尺寸后,尚需根据荷载及配筋情况进行承载力、变形(挠度)和裂缝宽度验算,有时可能要几经反复才能最终确定最为合理的梁截面尺寸。

梁跨度与梁截面
2、板的厚度
和确定梁的高度原则相似,板的厚度是根据板的跨厚比确定的,各类型板的跨厚比如下:
(1)单向板:不大于30,
(2)双向板:不大于40
(3)无梁支撑的有柱帽板:不大于35
(4)无梁支撑的无柱帽板:不大于30
但依据上述跨厚比计算出来的板厚不能低于以下数值(最低板厚)
单向板:
民用建筑楼板60厚;
工业建筑楼板70厚;
屋面板60厚;
行车道下的楼板80厚;
双向板80厚;
密肋楼盖面板50厚;
密肋楼盖肋高250厚;
无梁楼板150厚;
现浇空心楼盖200厚;
悬臂板(1200长以内)100厚;
悬臂板(500长以内)60厚;
对于预应力板可适当增加板厚比,而对于荷载较大、跨度也较大的板宜适当减小跨厚比。
3、结构构件的挠度限值
(1)吊车梁:手动吊车 挠度限值为L/500;
电动吊车 挠度限值为L/600;
(2)屋盖、楼盖及楼梯构件:当计算跨度小于7m时 挠度限值为L/200(L/250)
当计算跨度大于等于7m、小于等于9m时 挠度限值为L/250(L/300)
当计算跨度大于9m时 挠度限值为L/300(L/400)
其中L为计算跨度,括号内数字适用于使用上对挠度有较高要求的构件。
4、结构构件的裂缝控制
结构构件正截面的受力裂缝控制共分三个等级:
一级既严格要求不出现裂缝的构件;设计时要保证构件边缘混凝土不产生拉应力;
二级既一般要求不出现裂缝的构件,设计时要保证构件受拉边缘混凝土产生的拉应力不大于混凝土抗拉强度的标准值;
三级既允许出现裂缝的构件,但最大裂缝宽度给出了限值:
在室内干燥环境下为0.30mm;
对处于年平均相对湿度小于60%地区为0.40mm;
对室内潮湿环境、非严寒和非寒冷地区的露天环境等在混凝土结构的环境类别中被定义为二、三类的环境中为0.20。

梁裂缝
5、受力钢筋的锚固长度
钢筋的锚固长度:受力钢筋依靠其表面与混凝土的粘接作用或端部构造的挤压作用而达到设计承受应力所需的长度。
当计算中充分利用钢筋的抗拉强度时,受拉钢筋的锚固应符合下列要求
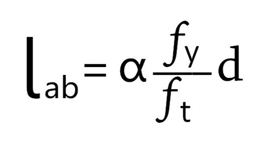
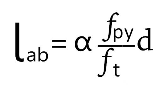
(1)钢筋的基本锚固长度
普通钢筋:

普通钢筋基本锚固长度
预应力钢筋 :

预应力钢筋基本锚固长度
其中:Lab为钢筋的基本锚固长度,fy、fpy分别为普通钢筋和预应力钢筋的抗拉强度设计值,ft为混凝土轴心抗拉强度设计值,当混凝土的强度等级大于C60时,ft的取值按C60进行。d为钢筋直径,a为钢筋外形系数。
钢筋外形系数的取值为:光面钢筋a=0.16;带肋钢筋a=0.14;
光面钢筋受拉时末端应做180度弯钩,且弯钩的平直段长度不应小于3d,钢筋受压时可不做弯钩。
普通钢筋抗拉强度设计值(fy)
牌号 抗拉强度设计值 抗压强度设计值
HPB300 270 270
HRB335、HRBF335 300 300
HRB400、HRBF400、RRB400 360 360
HRB500、HRBF500 435 435
混凝土轴心抗拉强度设计值(ft)
混凝土强度等级
强度 C15 C20 C25 C30 C35 C40 C45 C50 C55 C60 C65 C70 C75 C80
轴拉 0.91 1.10 1.27 1.43 1.57 1.71 1.80 1.89 1.96 2.04 2.09 2.14 2.18 2.22
(2)钢筋的锚固长度

钢筋锚固长度
其中La为锚固长度,a为锚固长度修正系数,Lab为基本锚固长度;
锚固长度修正系数,当带肋钢筋直径大于25mm时, 修正系数为1.10.;
当钢筋表面有环氧树脂涂层时,修正系数为1.25;
当钢筋保护层厚度为3d时,修正系数为0.8;当保护层厚度不小于5d时,修正系数可取0.7。
当施工中钢筋受扰动时,修正系数为1.10
当锚固长度修正系数为两个或以上时可以连乘,但最终修正后的锚固长度La不应小于基本锚固计算长度Lab的0,6倍,且不小于200。
纵向受压钢筋的锚固长度不应小于受拉钢筋锚固长度的0.7倍。
当纵向受拉钢筋末端采用钢筋弯钩或机械锚固措施时,包括弯钩或锚固端头在内的锚固长度(投影长度)可取为基本锚固长度Lab的0.6倍。

梁钢筋锚固
(3)抗震设计时钢筋的锚固长度

抗震设计时钢筋锚固长度
其中LaE为抗震设计锚固长度;aE为抗震设计锚固长度修正系数,La为(非抗震)锚固长度。
抗震设计锚固长度修正系数 当一、二级抗震等级时取值为1.15;
三级抗震等级时取值为1.05;
四级抗震等级时取值为1.0;
6、受力钢筋绑扎连接的搭接长度

钢筋绑扎连接
轴心受拉及小偏心受拉构件的纵向受力钢筋不得采用绑扎搭接。
直径大于25mm的纵向受拉钢筋和直径大于28mm纵向受压钢筋不宜采用绑扎连接。
钢筋绑扎连接的搭接长度本质上和钢筋的锚固长度是一样的,之所以它们的计算长度不一样且绑扎连接的搭接长度要比相应的锚固长度大,是因为钢筋在绑扎连接时由于两根钢筋搭接部分的接触面没有混凝土的握裹而使传递拉力的能力下降,必须通过增加搭接长度的方式(乘以大于1的系数)来补偿钢筋与混凝土的粘接力而已。
钢筋绑扎连接搭接长度的计算,是以钢筋的锚固长度为基数,再根据钢筋同一连接区段内的搭接接头面积百分率所对应的调整系数进行计算的。

钢筋绑扎搭接长度
其中
l为绑扎钢筋搭接长度;
为搭接长度修正系数;
а为锚固长度.
(1)当连接区段的搭接接头面积小于25%时,取1.2;
(2)当连接区段的搭接接头面积小于50%时,取1.4;
(3)当连接区段的搭接接头面积小于100%时,取1.6;
按上式计算出的受拉钢筋搭接长度最低不能小于300,受压钢筋搭接长度不能小于200。
这些数据的学习和掌握,对于您日后的执业之路一定会带来显而易见的好处,也希望广大朋友们能通过吸收更多的行业相关知识,在自己的执业之路上平步青云、独占鳌头。