(1)烧结普通砖(实心砖或红砖)
1.基本参数。其标准尺寸为240mm115mm53mm。
2.外观质量。
3.强度等级。
4.耐久性。
烧结普通砖具有较高的强度,良好的绝热性、耐久性、透气性和稳定性,且原料广泛,生产工艺简单,因而可用作墙体材料、砌筑柱、拱、窑炉、烟囱、沟道及基础等。
(2)烧结多孔砖。
烧结多孔砖是以黏土、页岩或煤矸石为主要原料烧制的主要用于结
构承重的多孔砖。多孔砖大面有孔,孔多而小,孔洞垂直于大面(即受压面),孔洞率不小于28 %,有190mm190mm90mm(M型)和240mm115mm90mm(P型)两种规格。
烧结多孔砖主要用于6层以下建筑物的承重墙体。M型砖符合建筑模数,使设计规范化、系列化,提高施工速度,节约砂浆;P型砖便于与普通砖配套使用。
(3)烧结空心砖。
其顶面有孔、孔大而少,孔洞为矩形条孔或其他孔形,孔洞率大于40%。这种砖强度不高,而且自重较轻,因而多用于非承重墙。如多层建筑内隔墙或框架结构的填充墙等。
空心砖有290mm190mm90mm和240mm180mm115mm两种规格。
【知识点】我国现行建设项目总投资构成
生产性建设项目总投资包括建设投资、建设期利息和流动资金三部分;
非生产性建设项目总投资包括建设投资和建设期利息两部分。
我国现行建设项目总投资构成图示

基本预备费:可能发生难以预料的支出,需要事先预留的费用,又称工程建设不可预见费,主要指设计变更及施工过程中可能增加工程量的费用。
组成:
1.设计和施工过程中增加的工程费用;设计变更、工程变更、材料代用、局部地基处理等增加的费用。
2.自然灾害的损失及预防费用(实行保险的,可适当降低)。
3.对隐蔽工程必要的挖掘和修复费用。
4.超规超限设备运输增加的费用。
计算:基本预备费=(工程费用+工程建设其他费用)费率
价差预备费
组成:
1.人、材、机、设备的价差;
2.建筑安装工程费及工程建设其他费用的调整;
3.利率、汇率调整等增加的费用。
●计算:

式中 PF价差预备费;
n建设期年份数;
It估算静态投资额中第t年的工程费用、工程建设其他费及基本预备费(估算年份价格水平的投资额);
f年涨价率;
m建设前期年限(从编制估算到开工建设,单位:年)。
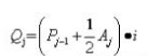
●建设期利息:建设期内发生的为工程项目筹措资金的融资费用及债务资金利息。
计算:

式中qj建设期第j年应计利息;
Pj-1建设期第(j-1)年末累计贷款本金与利息之和;
Aj建设期第j年贷款金额;
i 年利率。
【注】我国现行建设项目总投资构成,以选择题形式出题,可以是文字归属题,也有可能是计算题,而且在案例分析中以计算题的形式出题,记忆时注意对比记忆,区分各个计算式的计算基础。
【知识点】进口设备原价的构成计算
●进口设备的原价=抵岸价=到岸价+进口从属费用

●各种交易价格下的风险和费用划分,以及买卖双方的义务。
1.FOB(离岸价):货物越过船舷,卖方完成交货,风险转移。费用与风险划分点一致。
2.CFR(运费在内价):货物越过船舷,卖方完成交货,风险转移,但卖方需要支付海上运费。费用与风险划分点不一致。
3.CIF(到岸价):卖方除负有与CFR相同的义务外,还应办理货物在运输途中最低险别的海运保险,并应支付保险费。如买方需要更高的保险险别,则需要与卖方明确地达成协议,或者自行做出额外的保险安排。除保险这项义务之外,买方的义务也与CFR相同。
●进口设备到岸价的构成及计算
1.到岸价=离岸价+国际运费+运输保险费
2.国际运费=原币货价(FOB)运费率
3.国际运费=单位运价运量

【本质】运输保险费=到岸价保险费费率
●进口从属费的构成及计算
进口从属费=银行财务费+外贸手续费+关税+消费税+进口环节增值税+车辆购置税
【注】进口设备原价的构成计算,以选择题形式出题,可以是文字归属题,也有可能是计算题,而且在案例分析中以计算题的形式出题,记忆时注意对比记忆,区分各部分的组成要素及各个计算式的计算基础。
【知识点】措施项目费的构成
措施项目费:发生于施工前和施工过程中的技术、生活、安全、环境保护等方面的费用。
(1)安全文明施工费
●环境保护费
●文明施工费
●安全施工费
●临时设施费




(2)夜间施工增加费
夜间照明设置、拆除;夜间标志、警示的设置、移动和拆除;夜间照明设备摊销及用电、人员补助、降效费用。
(3)非夜间施工照明费
例如:地下室等特殊施工部位施工时的照明设备的安拆、维护及照明用电等费用。
(4)二次搬运费
因施工场地条件限制而发生的材料、成品、半成品等一次不能达到堆放地点,必须进行二次或多次搬运的费用。
(5)冬雨季施工增加费
1)施工时增加的临时设施(防寒保温、防雨、防风设施)的搭设、拆除费用;
2)对砌体、混凝土等采用的特殊加温、保温和养护措施费用;
3)施工现场的防滑处理、对影响施工的雨雪的清除费用;
4)增加的临时设施、施工人员的劳动保护用品、冬雨(风)季施工劳动效率降低等费用。
(6)地上、地下设施、建筑物的临时保护设施费
对已建成的建筑物进行保护的费用。
(7)已完工程及设备保护费
竣工验收前,对已完工程及设备采取的覆盖、包裹、封闭、隔离等必要保护措施所发生的费用。
(8)脚手架费
指施工需要的各种脚手架搭、拆、运输费用以及脚手架购置费的摊销(或租赁)费用。
通常包括以下内容:
1)施工时可能发生的场内、场外材料搬运费用;
2)搭、拆脚手架、斜道、上料平台费用;
3)安全网的铺设费用;
4)拆除脚手架后材料的堆放费用。
【记忆】本身、搭拆、安全、辅助、搬运
(9)混凝土模板及支架(撑)费
1)混凝土施工过程中需要的各种模板制作费用;
2)模板安装、拆除、整理堆放及场内外运输费用;
3)清理模板黏结物及模内杂物、刷隔离剂等费用。
(10)垂直运输费
指现场所用材料、机具从地面运至相应高度以及职工人员上下工作面等所发生的运输费用。内容由以下各项组成:
1)垂直运输机械的固定装置、基础制作、安装费;
2)行走式垂直运输机械轨道的铺设、拆除、摊销费。
(11)超高施工增加费
当单层建筑物檐口高度超过20m,多层建筑物超过6层时,可计算超高施工增加费,内容由以下各项组成:
1)建筑物超高引起的人工工效降低以及由于人工工效降低引起的机械降效费;
2)高层施工用水加压水泵的安装、拆除及工作台班费;
3)通信联络设备的使用及摊销费。
(12)大型机械设备进出场及安拆费
1)安拆费包括施工机械、设备在现场进行安装拆卸所需人工、材料、机械和试运转费用以及机械辅助设施的折旧、搭设、拆除等费用;
2)进出场费包括施工机械、设备整体或分体自停放地点运至施工现场或由一施工地点运至另一施工地点所发生的运输、装卸、辅助材料等费用。
(13)施工排水、降水费
1)成井。成井的费用主要包括:准备钻孔机械、埋设护筒、钻机就位,泥浆制作、固壁,成孔、出渣、清孔等费用;对接上、下井管(滤管),焊接,安防,下滤料,洗井,连接试抽等费用。
2)排水、降水。排水、降水的费用主要包括:管道安装、拆除,场内搬运等费用;抽水、值班、降水设备维修等费用。
(14)其他。工程定位复测费和特殊地区施工增加费。
【注】措施项目费的构成,以选择题形式出题,一般是文字归属题,记忆时注意对比记忆,掌握各个费用的组成部分。