图示长度(外包长度、量度尺寸):即从图纸上看到的钢筋尺寸,相当于钢筋加工好后去量度的尺寸,也是钢筋的外包尺寸。
下料长度(中心线长度):根据钢筋弯曲时的现象,每根钢筋需要切断时的直线长度。
(一) 钢筋的配料及配料顺序
1.钢筋的配料就是根据施工图纸,分别计算出各根钢筋切断时的直线长度,也称为下料长度,然后加以编号,分别计算钢筋的下料长度及根数,填写配料单,申请加工。

钢筋下料长度示意图

钢筋下料长度示意图

钢筋下料长度示意图


钢筋加工牌
钢筋配料单

2.施工图中注明的钢筋尺寸是钢筋的外轮廓尺寸(即从钢筋的外皮到外皮量得的尺寸),称为钢筋的外包尺寸,在钢筋制备安装后,也是按外包尺寸验收。
3.钢筋在制备前是按直线下料,如果下料长度按外包尺寸总和进行计算,则加工后钢筋的尺寸必然大于设计要求的外包尺寸,这是因为钢筋在弯曲时,外皮伸长,内皮缩短而中心轴线长度不变。因此,只有按中心线长度来下料制备,才能使钢筋外包尺寸符合设计要求。
注意:
在配料表中需标出每根钢筋的下料长度。下料长度指的是下料时钢筋需要的实际长度,这与图纸上标注的长度并不完全一致。
钢筋下料长度的计算是以钢筋弯折后其中心线长度不变这个假设条件为前提进行的。也就是说,钢筋弯折后中心线长度不变,而外边缘变长,内边缘缩短。因此,钢筋的下料长度就是指相应钢筋的中心线长。
实际工程计算中,影响下料长度计算的因素很多,如混凝土保护层厚度;钢筋弯折后发生的变形;图纸上钢筋尺寸标注方法的多样化;弯折钢筋的直径、级别、形状、弯心半径的大小以及端部弯钩的形状等,我们在进行下料长度计算时,对这些因素都应该考虑。
钢筋的配料顺序:
从整体上看钢筋的配料应按照先使用、先配料,先重要、后次要,自下而上的配料顺序进行。如:基础柱主梁次梁板二层柱主梁次梁板
对于具体构件来说:
板:板中受力筋支座负弯矩分布筋;
梁:受拉区受力筋受压区受力筋架立筋、构造筋支座负弯筋箍筋;
基础、柱:基础底板筋预埋插铁柱受力筋柱箍筋柱预埋铁件。
(二)钢筋下料长度的计算
前面已经说过,钢筋的下料长度就是指在直线状态下截断钢筋时的长度,它的计算与混凝土对钢筋的保护层厚度、钢筋的形状、钢筋直径及钢筋的搭接长度有关。
1. 混凝土对钢筋的保护层厚度
钢筋的保护层是指从混凝土外表面至钢筋外表面的距离,主要起保护钢筋免受大气锈蚀的作用,不同部位的钢筋,保护层厚度也不同。受力钢筋的混凝土保护层厚度,应符合设计要求;当设计无具体要求时,不应小于受力钢筋直径。
钢筋的混凝土保护层厚度


点击图片可以放大
2. 钢筋弯曲量度差值和端部弯钩增加值
量度差值钢筋弯曲后的外包尺寸和中心线之间的差值。量度差值的大小与钢筋直径、弯曲角度、弯心直径等因素有关。
前面已经提过,钢筋弯折后,其中心线长度并没有变化,而图纸上标注的大多是钢筋弯曲成形的外包尺寸,而外包尺寸明显大于钢筋的中心线长度,如果按照外包尺寸下料、弯折,就会造成钢筋的浪费,而且也给施工带来不便(由于尺寸偏大,致使保护层厚度不够,甚至不能放进模板)。
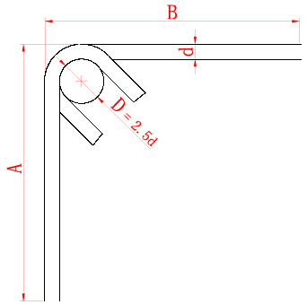
为了增强钢筋与混凝土的锚固,钢筋末端一般需加工成弯钩形式。
I 级钢筋末端需要作180弯钩,其圆弧段弯曲直径D不应小于钢筋直径d 的2.5 倍,平直部分长度不宜小于钢筋直径d的3倍,当用于轻骨料混凝土结构时,其弯曲直径D 不应小于钢筋直径d的3.5 倍,如下图 (b)所示;
II、III 级钢筋(变形钢筋)一般可以不作弯钩,如设计需要时末端只作90或135弯折,II 级钢筋的弯曲直径不宜小于钢筋直径d 的4 倍,III 级钢筋不宜小于钢筋直径d的5倍,平直部分长度应按设计要求确定,如下图(c)所示。








弯曲135。时的弯钩增加值

箍筋的末端需作弯钩,弯钩形式应符合设计要求,当设计无具体要求时,用I 级钢筋或冷拔低碳钢丝制作的箍筋,其弯钩的弯曲直径应大于受力钢筋直径,且不小于箍筋直径的2.5 倍;弯钩平直部分的长度,对一般结构,不宜小于箍筋直径的5 倍,对有抗震要求的结构,不应小于箍筋的10 倍。弯钩形式有三种,如下图所示,对于有抗震要求和受扭的结构,可按图中(c)所示加工。
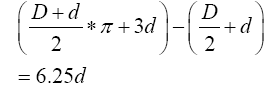
弯曲角度为,弯心直径为D时,量度差值的计算公式如下




箍筋示意图

钢筋弯曲量度差值

箍筋 900/900弯钩时两个弯钩增长值为:
2(0.285D+4.785d),当取D=2.5d,平直长为5d时,两个弯钩增加值=11d。箍筋1350/1350 弯钩时两个弯钩增长值为:2(0.68D+5.18d),当取D=2.5d,平直长为10d时,两个弯钩增加值=19d。箍筋 900/1800弯钩时两个弯钩增长值为:
(1.07D+5.57d)+(0.285D+4.785d)=1.355D+10.355d,当取D=2.5d,平直长为5d时,两个弯钩增加值=14d 。
3. 箍筋调整值
量度差值钢筋弯曲后的外包尺寸和中心线之间的差值。量度差值的大小与钢筋直径、弯曲角度、弯心直径等因素有关。

箍筋下料示意图
箍筋调整值

4. 弯起钢筋的增加长度
弯起钢筋的增加长度与弯起角度有关。钢筋的弯起,一般为45。;当梁较高时,则为60。;当梁较低或在现浇板中,为30。
弯起钢筋坡度系数

总原则:
钢筋的下料长度
=各段外包尺寸之和-弯曲处的量度差值+两端弯钩的增长值
直钢筋的下料长度
=构件长度-钢筋端头保护层厚度+钢筋弯钩增长值
弯起钢筋的下料长度
=直段长度+斜段长度+钢筋弯钩增加值-量度差值
箍筋的下料长度 =箍筋周长+箍筋调整值
记住直径为10mm的钢筋每米重量为0.617kg,其他直径钢筋每米重量为直径(厘米为单位)的平方与0.617的乘积。

计算示例2
【例4.2】某建筑物简支梁配筋如图所示,试计算钢筋下料长度。钢筋保护层厚度取25mm。(梁编号为L1共10根)

【解】
1.计算钢筋下料长度
①号钢筋下料长度
6190+2200-2225+26.2525=6802(mm)

②号钢筋下料长度
6190+26.2512=6340(mm)
④号钢筋下料长度计算为6825mm
⑤号箍筋下料长度
(162+462)2+50=1298(mm)
箍筋的个数
(6240-225)/200=31 箍筋有32个
2.绘出各种钢筋简图(见下表)。
钢筋配料单

5 .钢筋代换
(1) 钢筋代换的原则
钢筋的级别、种类和直径应按设计要求采用。若在施工过程中,由于材料供应的困难不能完全满足设计对钢筋级别或规格的要求,为保证工期,可对钢筋进行代换,但应遵循下列原则。
①不同种类钢筋的代换,应按钢筋受拉承载力设计值相等的原则进行。
②当构件受抗裂、裂缝宽度或挠度控制时,钢筋代换后应进行相应的抗裂、裂缝宽度或挠度验算。
③除满足强度要求外,还应满足混凝土结构设计规范中所规定的最小配筋率、钢筋间距、锚固长度、最小钢筋直径、根数等构造要求。
④对重要受力构件,不宜用I级光面钢筋代换变形钢筋。
⑤梁的纵向受力钢筋和弯起钢筋应分别进行代换。
⑥对有抗震要求的框架,不宜以强度等级较高的钢筋代替原设计的钢筋;当必须代换时,其代换钢筋的抗拉强度实测值与屈服强度实测值的比值不应小于1.25,且钢筋的屈服强度实测值与钢筋的强度标准值的比值,当按一级抗震设计时,不应大于1.25,当按二级抗震设计时,不应大于1.4。
⑦预制构件的吊环,必须采用未经冷拉的I级热轧钢筋制作,严禁以其他钢筋代换。
(2)钢筋代换的方法
钢筋代换的方法主要有等强代换、等面积代换和等弯矩代换三种。
①等强代换
当构件受强度控制时,可按强度相等原则进行代换,称为等强代换,即
f y1 A s1f y2 A s2式中,f y1 原设计钢筋抗拉强度设计值;
f y2代换钢筋抗拉强度设计值;
A s1 原设计钢筋总截面面积
A s2 代换钢筋总截面面积。
②等面积代换
当构件按最小配筋率配筋或相同级别的钢筋之间代换时,钢筋可按面积相等原则进行代换,称为等面积代换,即A s1 A s2式中符号意义同前。
③等弯矩代换
当结构构件按裂缝宽度或抗裂性要求控制时,钢筋的代换需进行裂缝及抗裂性验算。钢筋代换后,有时由于受力钢筋直径加大或根数增多而需要增加排数,则构件截面的有效高度h0减小,截面强度降低,此时需复核截面强度。

6.钢筋加工的其它工作
钢筋的加工有除锈、调直、下料剪切及弯曲成型。钢筋加工的形状、尺寸应符合设计要求,其偏差应符合下表的规定。
钢筋加工的允许偏差
(1) 除锈
钢筋除锈一般可以通过以下两个途径:大量钢筋除锈可通过钢筋冷拉或钢筋调直机调直过程中完成;少量的钢筋局部除锈可采用电动除锈机或人工用钢丝刷、砂盘以及喷砂和酸洗等方法进行。
(2) 调直
钢筋调直方法很多,常用的方法是使用卷扬机拉直和用调直机调直。
(3) 切断
切断前,应将同规格钢筋长短搭配,统筹安排,一般先断长料,后断短料,以减少短头和损耗。钢筋切断可用钢筋切断机或手动剪切器。
(4) 弯曲成型
钢筋弯曲的顺序是画线、试弯、弯曲成型。画线主要根据不同的弯曲角在钢筋上标出弯折的部位,以外包尺寸为依据,扣除弯曲量度差值。钢筋弯曲有人工弯曲和机械弯曲。
(5) 安装检查
钢筋属于隐蔽性工程,在浇筑混凝土之前应对钢筋及预埋件进行验收,并做好隐蔽工程记录。
安装钢筋前,施工人员必须熟悉施工图纸,合理安排钢筋安装顺序,检查钢筋品种、级别、规格、数量是否符合设计要求。
钢筋应绑扎牢固,防止钢筋移位。板和墙的钢筋网,除靠近外围两行钢筋的交叉点全部扎牢外,中间部分交叉点可间隔交错绑扎,但必须保证受力钢筋不产生位置偏移;对双向受力钢筋,必须全部绑扎牢固。
梁和柱的箍筋,除设计有特殊要求外,应与受力钢筋垂直设置;箍筋弯钩叠合处,应沿受力钢筋方向错开设置。
在柱中竖向钢筋搭接时,角部钢筋的弯钩平面与模板面的夹角,对矩形柱应为450角,对多边形柱应为模板内角的平分角;对圆形柱钢筋的弯钩平面应与模板的切线平面垂直;中间钢筋的弯钩平面应与模板面垂直;当采用插入式振捣器浇筑小型截面柱时,弯钩平面与模板面的夹角不得小于150。
板、次梁与主梁交接处,板的钢筋在上,次梁钢筋居中,主梁钢筋在下;主梁与圈梁交接处,主梁钢筋在上,圈梁钢筋在下,绑扎时切不可放错位置。
安装钢筋时,配置的钢筋品种、级别、规格和数量必须符合设计图纸的要求。钢筋安置位置的偏差应符合下表的规定。
钢筋安置位置的允许偏差和检验方法