一、墙身体积计算公式
如下图所示的涵洞翼墙
令翼墙的顶宽为K、墙背坡为B、填土坡为T、墙高为X、(注:高的一端为X高 、低的一端为X低)、翼墙低端基础宽J、基础的厚度为 H, X变量从翼墙的低端变化到翼墙的高端(如图中从1米变化到3.82米),墙长与填土坡T相关,它随墙高增高而增长。

即:墙长=T(X高-X低)。墙身体积计算公式推导如下:


将(2)式脱出积分公式整理得

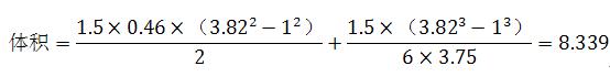
二、墙身体积计算例
上图中K=0.46、B=3.75、T=1.5、X低=1、X高=3.82

三、基础体积计算公式

将 (4)式脱出积分公式整理得

四、基础体积计算例
上图中 T=1.5、J=1.18、H=0.6 、X=3.82-1=2.82
