剪切刚度:
1. 定义:
是反应结构面剪切变形性质的重要参数,其数值等于峰值前剪切刚度曲线上任一点的切线斜率。
2. 应用:
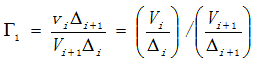
(1)《高规》附录E第E.0.1条规定:当转换层设置在1、2层时,可近似采用转换层与其相邻上层结构的2等效剪切刚度比(对于转换层)e1表示转换层上、下层结构刚度的变化,e1宜接近1,非抗震设计时e1不应小于0.4,抗震设计时e1不应小于0.5。e1可按下列公式计算:

(2)《抗震规范》第6.1.14第3条规定:当地下室顶板作为上部结构的嵌固部位时,地下室结构的侧向刚度与上部结构的侧向刚度之比不宜小2。
《高规》第5.3.7条规定:高层建筑结构整体计算中,当地下室顶板作为上部结构嵌固部位时,地下一层与首层侧向刚度比不宜小于2(1等效剪切刚度比)。 其条文说明指出楼层侧向刚度比可按本规程附录E.0.1条公式计算。
地震力与地震层间位移比
1. 定义:
实际上就是使结构发生单位层间位移角所需要的力。
2. 应用:
(1)《高规》第3.5.2条均规定:抗震设计时,高层建筑相邻楼层的侧向刚度变化应符合下列规定:
1)对框架结构,楼层与其相邻上层的侧向刚度比1可按式(3.5.21)计算,且本层与相邻上层的比值不宜小于0.7,与相邻上部三层刚度平均值的比值不宜小于0.8。(3侧向刚度比,对于每一层)

2)对框架-剪力墙、板柱-剪力墙结构、剪力墙结构、框架-核心筒结构、筒中筒结构,楼层与其相邻上层的侧向刚度比2可按式(3.5.2-2)计算,且本层与相邻上层的比值不宜小于0.9;当本层层高大于相邻上层层高的1.5倍时,该比值不宜小于1.1;对结构底部嵌固层,该比值不宜小于1.5。(4等效侧向刚度比,对于每一层)

(2)《高规》附录E中第E.0.2条:当转换层设置在第2层以上时,按本规程式(3.5.21)计算的转换层与其相邻上层的侧向刚度比不应小于0.6。(5侧向刚度比,仅对于转换层)
(3)《高规》附录E中第E.0.3条:当转换层设置在第2层以上时,尚宜采用图E所示的计算模型按公式(E.0.3)计算转换层下部结构与上部结构的等效侧向刚度比e2。e2宜接近1,非抗震设计时e2不应小于0.5,抗震设计时e2不应小于0.8。(6等效侧向刚度比,对于转换层上部结构与下部结构)(也叫等效剪弯刚度比)

剪弯刚度:
1. 定义:
实际上就是单位力作用下的层间位移角,其刚度比也就是层间位移角之比。它能同时考虑剪切变形和弯曲变形的影响,但没有考虑上下层对本层的约束。
2. 应用:
《高规》附录E中第E.0.3条:当转换层设置在第2层以上时,尚宜采用图E所示的计算模型按公式(E.0.3)计算转换层下部结构与上部结构的等效侧向刚度比e2。e2宜接近1,非抗震设计时e2不应小于0.5,抗震设计时e2不应小于0.8。(等效侧向刚度比,对于转换层上部结构与下部结构)(也叫7等效剪弯刚度比)

三者的详解与盈建科应用:
1等效剪切刚度比
2等效剪切刚度比,对于转换层
3侧向刚度比,对于每一层
4等效侧向刚度比,对于每一层
5侧向刚度比,仅对于转换层
6等效侧向刚度比,对于转换层上部结构与下部结构
7等效剪弯刚度比

RJX1,RJY1,RJZ1:等效剪切刚度
Ratx,Raty: 1等效剪切刚度比
RJX3,RJY3,RJZ3:侧向刚度
Ratx1,Raty1:3侧向刚度比
Ratx2,Raty2:4等效侧向刚度比
1. 1等效剪切刚度比
用于判断地下室是否能作为嵌固端,即地下室刚度与首层刚度的比值不小于2,盈建科判断条件是Ratx和Raty均要小于0.5。
高规附录E第E.0.1条式:

式中

为等效剪切刚度,即盈建科中的RJX1,RJY1,RJZ1。

第3层Ratx=第3层RJX1/第2层RJX1=2.7634/2.2722=1.2162
或者按下图的剪切刚度比:判断条件为刚度比不小于2


X向刚度比=22.115/2.2722=9.7328=1/第2层的Ratx1
Y向刚度比=20.651/2.0102=10.2730=1/第2层的Raty1
2. 3侧向刚度比
用于判断结构刚度是否满足高规3.5.2第1条,判断条件Ratx1和Raty1均不小于1。
高规式3.5.2-1:

,由此式可看出侧向刚度比为

,即盈建科中的RJX3,RJY3,RJZ3。

第2层Ratx1=MIN{第2层RJX3/(70%*第3层RJX3),第2层RJX3/(80%*第3~5层RJX3的平均值}=MIN{4.5450/(3.0026x70%),4.5450/(80%*(3.0026+2.4838+2.6692)/3)}=2.0898
3.4等效侧向刚度比
用于判断结构刚度是否满足高规3.5.2第2条,判断条件Ratx2和Raty2均不小于1。
高规式3.5.2-2:


第2层Ratx2=第2层RJX3/(90%*第3层RJX3)*(h2/h3)= 4.5450/(3.0026x90%)x(3.8/3.5)=1.8260
注:当本层层高大于相邻上层层高1.5倍时取相邻上层刚度的110%;当本层为嵌固层时相邻上层的150%。
4.2等效剪切刚度比,对于转换层
用于判断有转换层的结构,且转换层在1、2层时的刚度是否满足要求,判断条件:非抗震设计时e1不应小于0.4,抗震设计时e1不应小于0.5。
高规附录E第E.0.1条中式




第2层RJX1/第3层RJX1 = 52.962/3.3252,52.962=15.9272
与Ratx的区别:1、Ratx表示的是本层与相邻下层的等效剪切刚度比,

表示的是本层与相邻上层的等效剪切刚度比;2、Ratx用于判断地下室顶板能否作为嵌固端,

用于判断转换层刚度是否满足结构刚度要求(转换层在1、2层时)。
5.5侧向刚度比,仅对于转换层
用于判断有转换层的结构,且转换层在2层以上时的刚度是否满足要求,判断条件:按高规式3.5.2-1计算的转换层与其相邻上层的侧向刚度比不应小于0.6。
式:



第7层X向等效侧向刚度比=第7层RJX3/第8层RJX3=1.4280/2.8356=0.5036
转换层的等效侧向刚度比与Ratx1、的区别:转换层的侧向刚度比为本层的侧向刚度比与相邻上层的比值;Ratx1为本层侧向刚度与相邻上层侧向刚度的70%的比值或本层侧向刚度与相邻上3层侧向刚度平均值的80%的比值;

为本层侧向刚度与相邻上层侧向刚度的比值或本层侧向刚度与相邻上3层侧向刚度平均值的比值。
6.等效侧向刚度比,对于转换层上部结构与下部结构
用于判断有转换层的结构,且转换层在2层以上时的刚度是否满足要求,判断条件:非抗震设计时e2不应小于0.5,抗震设计时e2不应小于0.8。
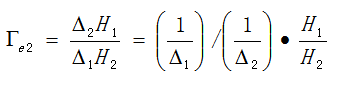
高规附录E第E.0.3条:

式中:
1.

为单位水平力作用下的的侧向位移,即剪弯刚度;
2.

为使结构发生单位层间位移角所需要的力,即侧向刚度;
3.H1/H2为高度修正系数。
因此,e2为等效侧向刚度比,也为等效剪弯刚度。

e2=5.1170/7.3216*22.8/19.8=0.8048
三者的适用:
非转换结构需满足:
1、地下室顶板为嵌固端时,满足1等效剪切刚度比 ;
2、每一层满足3侧向刚度比或4等效侧向刚度比。(注:此刚度比是在地震力作用的条件下,非抗震地区可视情况判断。)
转换层在1、2层时需要满足:
1、 地下室顶板为嵌固端时,满足1等效剪切刚度比 ;
2、 非转换层满足3侧向刚度比或4等效侧向刚度比;
3、 转换层满足2等效剪切刚度比
转换层在2层以上时需要满足:
1、 地下室顶板为嵌固端时,满足1等效剪切刚度比 ;
2、 非转换层满足3侧向刚度比或4等效侧向刚度比;
3、 转换层满足5侧向刚度比、6等效侧向刚度比(7等效剪弯刚度比)。