在室内外热、湿扰量的作用下,某一时刻进入一个恒温恒湿房间内的总热量和总湿量称为在该时刻的得热量和得湿量。当得热量为负值时称为耗(失)热量。
空调的负荷可以分为冷负荷、热负荷和湿负荷三种。在某一时刻为保持房间恒温恒湿,需向房间供应的冷量称为冷负荷(Cooling Load);反之,为补偿房间矢热而需向房间供应的热量称为热负荷(Heat Load);为维持室内相对湿度所需由房间增加的湿量称为湿负荷(Moisture Load)。
空调的实质就是通过一定的技术手段对特定的空间内空气的品质进行调节,维持室内空气具有一定的状态参数,人们根据这些状态参数对空调设备进行运行管理。
室内空气计算参数
空调房间室内温度、湿度通常用两组指标来规定,即温度、湿度基数及其允许波动范围(空调精度)。
室内温、湿度基数:在空调区域内所需要保持的空气基准温度与基准湿度。
空调精度:在空调区域内,在要求的工件旁一个或数个测温(或测相对湿度)点上水银温度计(或相对湿度计)在要求的持续时间内,所示的空气温度(或相对湿度)偏离温(湿)度基数的最大偏差。
例如:温度:200.5℃ ; 相对湿度: 60%5%


空调系统根据所服务的对象不同可分为:工艺性空调和舒适性空调。工艺性空调主要是满足工艺过程对温、湿度基数的特殊要求,同时兼顾人体的卫生要求。舒适性空调是从人体舒适感的角度来确定室内温、湿度设计标准,一般不提空调精度的要求。
1、舒适性空调的室内空气计算参数
《采暖通风与空气调节设计规格》(GB 500192003)规定,舒适性空调室内计算参数如下表所示。

注:实际工作中请参考现行的国家标准。
室内温、湿度取值的高低,与能耗多少密切相关,在加热工况下,室内计算温度每降低1℃,能耗可减少5% ~ 10%;在冷却工况下,室内计算温度每升高1℃,能耗可减少8% ~ 10%。
2、工艺性空调的室内空气计算参数
工艺性空调根据工艺要求,并考虑必要的卫生条件来确定。具体情况可以参考《空气调节设计手册》电子部第十设计研究院编。
室外空气计算参数
空调工程设计与运行中所用的一些室外气象参数人们习惯称之为室外空气计算参数。室外气象参数就某一地区而已,有随季节变化、昼夜变化或者时刻在不断变化着,如全国各地大多数在7~8月份气温最高,而1月份气温最低;一天当中,一般在凌晨3~4点气温最低,而在下午14~15点气温最高。
室外空气计算参数的取值,直接影响室内空气状态和设备投资。如果按当地冬、夏最不利情况考虑,那么这种极端最低、最高温、湿度要若干年才出现一次而且持续时间较短,这将使设备容量庞大而造成投资浪费。因此,设计规范中规定的室外计算参数是按全年少数时候不保证内温、湿度标准而制定的。当室内温、湿度必须全年保证时,应另行确定空气调节室外计算参数。
1、夏季室外空气计算参数
(1)夏季空调室外计算干、湿球温度
夏季空调室外计算干球温度采用历年不保证50h的干球温度;夏季空调室外计算湿球温度采用历年平均不保证50h的湿球温度。
(2)夏季空调室外计算日平均温度和逐时温度
夏季在计算通过围护结构的传热量时,采用的是不稳定传热过程,因此必须知道设计日的室外平均温度和逐时温度。
夏季空调室外设计日平均温度采用历年平均不保证5天的日平均温度。
2、冬季空调室外计算温、湿度的确定
冬季空调室外计算温度采用历年平均不保证1天的日平均温度;当冬季不使用空调设备送热风,而使用采暖设备时,计算围护结构的传热应采用采暖室外计算温度。
由于冬季室外空气含湿量远小于夏季,而且变化也很小,因此不给出湿球温度,只给出冬季室外计算相对湿度。规定冬季空调室外计算相对湿度采用历年最冷月平均相对湿度。
空调房间负荷计算
前我国普遍采用的冷负荷计算方法主要有两种:冷负荷系数法、谐波反应法,本课程中采用冷负荷系数法。
冷(热)负荷估算指标
1、夏季冷负荷估算
空调负荷概算指标,是指折算到建筑物每一平方米空调面积所需制冷机或空调器提供的冷负荷值。
将负荷概算指标乘以建筑物内的空调面积,即得夏季空调制冷系统总负荷的估算值。
国内部分建筑空调冷负荷概算指标

2、冬季冷负荷估算
民用建筑空气调节系统冬季热负荷,可按冬季采暖热负荷指标估算后,乘以空调系统冬季用室外新风量的加热系数1.3-1.5即可。
国内部分建筑采暖热负荷概算指标

送风状态与送风量的确定
1、夏季送风状态及送风量的确定

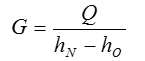
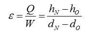
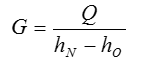
上图所示为一个空调房间的送风示意图。室内余热量(冷负荷)为Q(W),余湿量(湿负荷)为W(kg/s)。为了消除余热余湿,保持室内空气状态为N(hN , dN)点,送入G(kg/s)的空气量,其状态为O(ho , do)。送入的空气吸收室内的余热、余湿后,由状态O变为状态N而排出,从而保证了室内空气状态为N。
根据热平衡得

根据湿平衡得

整理上述两式得


以上两式相除得热湿比

在焓湿图上就可利用热湿比的过程线来表示送入空气状态变化过程的方向。只要送风空气的状态点O位于通过室内状态点N的热湿比线上,那么将一定质量,具有这种状态的空气送入房间,就能同时吸收余热和余湿,从而保证室内要求的状态N。

从上图可以看出,凡是位于N点一下热湿比线上的点均可作为送风状态点,只不过O点距N点越近,送风量越大,距N点越远则送风量越小。因此,送风状态点O的选择就涉及到一个经济技术的比较问题。从经济上讲,一般总是希望送风温差to尽可能的大,这样,需要的送风量就小,空气处理设备也就小,既可以节约初投资,又可以节省运行能耗。但是从效果上看,送风量太小,空调房间的温度场和速度场的均匀性和稳定性都会受到影响。同时,由于送风温差大,较低,to冷气流会使人感到不舒适。
暖通空调规范根据空调房间恒温精度的要求给出了夏季送风温差的建议值,还推荐了换气次数,如下表所示。
送风温差与换气次数

用表中送风温差计算所得的送风量折合的换气次数大于表中推荐的换气次数,则符合要求。
选定送风温差后,按以下步骤确定送风状态O点和计算送风量:
⑴在焓湿图上确定出室内状态点N;
⑵由热湿比作出过N点的热湿比线;
⑶根据选取的送风温差,在热湿比线上定出送风状态点O;
⑷用

式计算所需的送风量,并校核换气次数。

2、冬季送风状态及送风量的确定
(1)采用与夏季不同的送风量
确定方法与夏季相同,冬季的送风温差可取大一些。
(2)采用与夏季相同的送风量
只需调节送风参数,根据

式反求出送风状态点(

)

由所求的(

)确定的冬季送风状态点O与室内状态点N的连线就是冬季工况的热湿比线。

新风量的确定
1、卫生要求
空调房间的最小送风量应当保证人体健康所需要的新风量。
2、补充局部排风量或补充室内燃烧所耗的空气量
空调房间内有排风柜等局部排风装置时,为了不使房间产生负压,必须有相应的新风量来补充排风量。
3、保持空调房间的正压要求
为了防止外界空气渗入室内,需要在空调系统中用一定量的新风来保持房间的正压。
在实际工程中,如果按上述方法所确定的空调系统的新风量不足总风量的10%时,新风量应按总风量的10%计算,以确保室内空气的卫生和安全。
公共建筑主要空间的设计新风量
