一、工程计量的原则
1.不符合合同文件要求的工程不予计量。
2.按合同文件所规定的方法、范围、内容和单位计量。
3.因承包人原因造成的超出合同工程范围施工或返工的工程量,发包人不予计量。
二、工程计量的范围与依据
1.工程计量的范围。
工程计量的范围包括:工程量清单及工程变更所修订的工程量清单的内容;合同文件中规定的各种费用支付项目,如费用索赔、各种预付款、价格调整、违约金等。
2.工程计量的依据。
工程计量的依据包括:工程量清单及说明、合同图纸、工程变更令及其修订的工程量清单、合同条件、技术规范、有关计量的补充协议、质量合格证书等。
三、工程计量的方法
1.单价合同计量
2.总价合同计量
四、预付款
1.预付款的支付
①百分比法。发包人根据工程的特点、工期长短、市场行情、供求规律等因素,招标时在合同条件中约定工程预付款的百分比。包工包料工程的预付款的支付比例不得低于签约合同价(扣除暂列金额)的10%,不宜高于签约合同价(扣除暂列金额)的30%。
②公式计算法。

式中,年度施工天数按365天日历天计算;材料储备定额天数由当地材料供应的在途天数、加工天数、整理天数、供应间隔天数、保险天数等因素决定。
2.预付款的扣回
①按合同约定扣款。
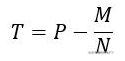
②起扣点计算法。

式中:
T起扣点(即工程预付款开始扣回时)的累计完成工程金额;
P承包工程合同总额;
M工程预付款总额;
N主要材料及构件所占比重。
3.预付款担保
①含义:指承包人与发包人签订合同后领取预付款前,承包人正确、合理使用发包人支付的预付款而提供的担保。
②主要作用:保证承包人能够按合同规定的目的使用并及时偿还发包人已支付的全部预付金额。
③主要形式:银行保函。
4.安全文明施工费
①发包人应在工程开工后的28天内预付不低于当年施工进度计划的安全文明施工费总额的60%,其余部分按照提前安排的原则进行分解,与进度款同期支付;
②发包人没有按时支付安全文明施工费的,承包人可催告发包人支付;
③发包人在付款期满后的7天内仍未支付的,若发生安全事故,发包人应承担连带责任。
五、期中支付
1.期中支付价款的计算
①已完工程的结算价款。已标价工程量清单中的单价项目,承包人应按工程计量确认的工程量与综合单价计算。
②结算价款的调整。承包人现场签证和得到发包人确认的索赔金额列入本周期应增加的金额中。由发包人提供的材料、工程设备金额,应按照发包人签约提供的单价和数量从进度款支付中扣除,列入本周期应扣减的金额中。
③进度款的支付比例。进度款的支付比例按照合同约定,按期中结算价款总额计算,不低于60%,不高于90%。
2.期中支付的文件
①进度款支付申请
a.累计已完成的合同价款;
b.累计已实际支付的合同价款;
c.本周期合计完成的合同价款,包括本周期已完成单价项目的金额、本周期应支付的总价项目的金额、本周期已完成的计日工价款、本周期应支付的安全文明施工费、本周期应增加的金额;
d.本周期合计应扣减的金额,其中包括本周期应扣回的预付款、本周期应扣减的金额;
e.本周期实际应支付的合同价款。
②进度款支付证书
③支付证书的修正。
六、工程竣工结算
1.定义
指工程项目完工并经竣工验收合格后,发承包双方按照施工合同的约定对所完成的工程项目进行的合同价款的计算、调整和确认。
2.竣工结算文件的编制和审核:
1)竣工结算文件的提交。工程完工后,承包方应当在工程完工后的约定期限内提交竣工结算文件。
2)竣工结算文件的编制依据。
①建设工程工程量清单计价规范;
②工程合同;
③发承包双方实施过程中已确认的工程量及其结算的合同价款;
④发承包双方实施过程中已确认调整后追加(减)的合同价款;
⑤建设工程设计文件及相关资料;
⑥投标文件;
⑦其他依据。
3)编制竣工结算文件的计价原则。
①分部分项工程和措施项目中的单价项目应依据双方确认的工程量与已标价工程量清单的综合单价计算。
②措施项目中的总价项目应依据合同约定的项目和金额计算。
③其他项目计价:计日工应按发包人实际签证确认的事项计算;暂估价应按发承包双方按照《建设工程工程量清单计价规范》GB50500-2013的相关规定计算;总承包服务费应依据合同约定金额计算,如发生调整的,以发承包双方确认调整的金额计算;施工索赔费用应依据发承包双方确认的索赔事项和金额计算;现场签证费用应依据发承包双方签证资料确认的金额计算;暂列金额应减去工程价款调整(包括索赔、现场签证)金额计算,如有余额归发包人。
④规费和税金应按照国家或省级、行业建设主管部门的规定计算。
⑤其他原则。
七、竣工结算文件的审核
1.竣工结算文件审核的委托
①国有资金投资建设工程的发包人,应当委托具有相应资质的工程造价咨询机构对竣工结算文件进行审核,并在收到竣工结算文件后的约定期限内向承包人提出由工程造价咨询机构出具的竣工结算文件审核意见。
②非国有资金投资的建筑工程发包人,应当在收到竣工结算文件后的约定期限内予以答复。
2.工程造价咨询机构的审核
①准备阶段
②审核阶段
③审定阶段
3.承包人异议的处理
4.竣工结算文件的确认与备案
八、质量争议工程的竣工结算
1.已经竣工验收或已竣工未验收但实际投入使用的工程,其质量争议按该工程保修合同执行,竣工结算按合同约定办理;
2.已竣工未验收且未实际投入使用的工程以及停工、停建工程的质量争议,双方应就有争议的部分委托有资质的检测鉴定机构进行检测,根据检测结果确定解决方案,或按工程质量监督机构的处理决定执行后办理竣工结算,无争议部分的竣工结算按合同约定办理。
九、承包人提交竣工结算款支付申请的内容
1.竣工结算合同价款总额;
2.累计已实际支付的合同价款;
3.应扣留的质量保证金(已缴纳履约保证金的或者提供其他工程质量担保方式的除外);
4.实际应支付的竣工结算款金额。
十、由于不可抗力解除合同时,需支付的金额
1.合同中约定应由发包人承担的费用。
2.已实施或部分实施的措施项目应付价款。
3.承包人为合同工程合理订购且已交付的材料和工程设备货款。
4.承包人撤离现场所需的合理费用,包括员工遣送费和临时工程拆除、施工设备运离现场的费用。
5.承包人为完成合同工程而预期开支的任何合理费用,且该项费用未包括在本款其他各项支付之内。
十一、违约解除合同
1.承包人违约。因承包人违约解除合同的,发包人应暂停向承包人支付任何价款。
2.因发包人违约解除合同的,发包人除应按照有关不可抗力解除合同的规定向承包人支付各项价款外,还需按合同约定核算发包人应支付的违约金以及给承包人造成损失或损害的索赔金额费用。
十二、缺陷责任期的确定
1.缺陷责任期相关概念
①缺陷:指建设工程质量不符合工程建设强制标准、设计文件以及承包合同的约定。
②缺陷责任期:指承包人按照合同约定承担缺陷修复义务,且发包人预留质量保证金(已缴纳履约保证金的除外)的期限。
2.缺陷责任期的期限
①缺陷责任期从工程通过竣工验收之日起计,缺陷责任期一般为1年,最长不超过2年,由发、承包双方在合同中约定。
②由于承包人原因导致工程无法按规定期限进行竣工验收的,缺陷责任期从实际通过竣工验收之日起计。
③由于发包人原因导致工程无法按规定期限进行竣工验收的,在承包人提交竣工验收报告90天后,工程自动进入缺陷责任期。
十三、质量保证金的使用
1.质量保证金的管理。
缺陷责任期内,实行国库集中支付的政府投资项目,质量保证金的管理应按国库集中支付的有关规定执行。
2.质量保证金的使用。
缺陷责任期内,由承包人原因造成的缺陷,承包人应负责维修,并承担鉴定及维修费用。