型钢混凝土(Steel Reinforced Concrete,简称 SRC)结构是以型钢为骨架并在型钢周围配置钢筋和浇筑混凝土的埋入式组合结构体系。由于型钢混凝土的内部型钢与外包混凝土形成整体,共同受力,其受力性能优于这两种结构的简单叠加,因此型钢混凝土结构在我国已得到日益广泛的应用。
01SRC组合结构的结构类型
早年美国及日本为了解决钢结构建筑的耐火、耐久性及增加钢结构房屋的抗水平力作用的刚度和避免受压屈曲, 简单地在钢结构外部包围以砖石砌体, 在静载作用时取得一定的效果, 日本关东大地震, 建筑物震害严重, 但是, 钢结构外包钢筋混凝土的建筑 (日本兴业银行大楼) 却没有震害, 这才开始确认了SRC 结构的抗震性, 以后再经过多次大地震害调查, 又进一步证实实腹式型钢的结构(SRC结构) 的抗震性能是优越的。SRC结构兼有钢结构和钢筋混凝土结构的各自优点, 而又克服了他们在单独使用时的一些缺点。

目前SRC结构构件在各种结构体系中的应用一般有以下方式:
(1) SRC纯框架或支撑框架结构;
(2) SRC框架 (框筒) SRC剪力墙(核心筒)或钢筋混凝土剪力墙 (核心筒) 结构;
(3)地下室或底部若干层采用 SRC, 上部采用钢结构;
(4)地下室或底部若干层采用 SRC, 上部采用钢筋混凝土结构;
(5)框架柱采用 SRC, 梁采用钢或钢筋混凝土;
(6)在一般剪力墙和筒体剪力墙中采用SRC剪力墙。
02SRC梁正截面承载力计算方法
型钢混凝土结构可根据内部配钢形式的不同分为实腹式和空腹式两大类。实腹式型钢通常采用由钢板焊接拼制成或直接轧制而成的工字型、H 型、口字型、十字型截面等;空腹式型钢一般由缀板或缀条连接角钢或槽钢构成空间桁架式骨架。


目前对于实腹式型钢混凝土梁抗弯承载力的计算方法,国内外主要采用以下 3 种计算方法,即:
(1)折算刚度法:考虑外包混凝土的折算刚度,按钢结构设计方法计算。这种方法适用于用钢量较大的情况。
(2)极限平衡理论法:考虑型钢应力分布的影响后,按钢筋混凝土梁的设计方法计算,我国的《组合结构设计规范》JGJ138-2016 即采用这一方法。
(3)叠加法:将型钢部分和混凝土部分的承载力分别计算后叠加,《钢骨混凝土结构设计规程》YB90822006 即采用这一方法。
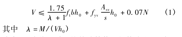
2.1 根据《组合结构设计规范》,采用极限平衡理论法。
假设:
①截面应变一直保持平面,混凝土和型钢之间的相对滑移不做考虑;
②混凝土受压区的应力图形简化为等效矩形,混凝土的极限压应变为0.003,对应的最大压应力取混凝土轴心抗压强度,对混凝土的抗拉作用不计;
③腹板的压应力图形和拉应力图形全部简化为应力矩形;
④钢材的应力遵守胡克定律,且不超过强度极限设计值.
对于型钢混凝土梁其截面形式为实腹式充满型,其截面承载力简化图形如图所示,承载力计算时按照非抗震和抗震分别计算:


型钢混凝土梁的混凝土受压区高度x 还要 足以下的前提条 :x bh0 ;x aa+tf.式中符号的相关含义见相关规范。
2.2 《钢骨混凝土结构设计规程》采用叠加原理,参考了日本的计算标准。
其抗弯承载力计算,对于双轴对称的充满型的实腹式型钢混凝土梁,其正截面承载力的计算是将型钢和混凝土部分的承载力分别计算后叠加:


2.3 我国两部型钢混凝土规范关于SRC梁计算区别
《钢骨混凝土结构设计规程》:采用强度叠加理论, 将 SRC分为钢结构部分和混凝土部分并分别计算, 计算结果为实际承载能力下限值, 偏于保守, 而且对不对称截面计算精度不高。但计算方便简单, 适合于截面估算和截面试设计。
《组合结构设计规范》:采用钢筋混凝土计算理论, 考虑到构件受力后期粘结失效的客观存在;钢骨与混凝土变形协调,通过构件内平衡方程求解构件承载力。在承载力计算中,公式较为复杂,适合于已知各配筋条件的承载力验算,而已知内力求配筋则计算复杂。刚度计算采用钢筋混凝土与型钢钢骨两部分刚度叠加的方法,与《钢骨规程》相近,计算公式稍有差异。
两部规范都主要针对比较规则、常见的实腹式截面形式。由于空腹式截面抗震性能较差,在实际设计中较少采用,两部规范也没有给出空腹式截面的计算方法。
03SRC常见节点
由于SRC组合结构在施工时周边框架钢梁和楼面梁首先与柱内的型钢进行连接,然后绑扎钢筋,再支设模板并浇筑混凝土,施工工序比较复杂,另外框架梁柱的节点构造复杂,箍筋贯穿型钢或焊接均很困难,在节点设计时需尤其注意。
3.1 柱脚节点
型钢混凝土柱可以根据不同受力特点采用型钢埋入基础底板的埋入式柱脚或非埋入式柱脚。根据《组合结构设计规范》规定,考虑地震作用组合的偏心受压柱宜采用埋入式柱脚;不考虑地震作用组合的偏心受压柱可采用埋入式柱脚,也可采用非埋入式柱脚;偏心受拉柱应采用埋入式柱脚。

非埋入式柱脚


埋入式柱脚

3.2梁柱节点设计
3.2.1 在型钢混凝土组合结构中;梁柱节点区域型钢和钢筋交错纵横,柱子箍筋遇钢柱牛腿时常采用牛腿上穿孔。为了保证型钢强度,穿孔应尽量小;而孔太小又不便于施工,甚至由于制作或施工误差,箍筋很难从预留孔中穿过。另外当柱内箍筋数量较多时,一侧牛腿上可能预留三列以上的孔,如此对牛腿截面的削弱很大。并导致节点区域混凝土浇灌困难,难以振捣,不能保证节点区及下部混凝土的密实。

梁柱区域钢筋遇柱牛腿穿孔示意
3.2.2 为了有效解决该问题,在超高层钢-混组合结构设计时当梁柱节点钢筋较多,型钢与钢筋交错给施工造成较大困难时,常将用于结构加固以防止裂缝扩大和提高结构刚度及承载力的钢板箍取代梁柱节点区域的箍筋,在与钢柱相连最高的型钢梁高度内均使用钢板箍。

钢板箍设置示意
节点区域采用钢板箍来代替箍筋时,需要保证节点区域混凝土抗剪强度在代换后不小于代换前使用箍筋时混凝土抗剪强度。对于此类构件,混凝土柱部分可等效为偏心受压柱,其斜截面受剪承载力应符合下列规定:



根据代换原则,采用钢板箍代换后的混凝土抗剪强度不小于代换前,即:


梁柱节点区域箍筋、钢板箍与柱牛腿连接对比示意

现场效果对比示意
3.3 梁柱节点区梁纵筋与型钢柱连接节点
当有条件满足锚固长度要求时,优先直接锚固;

角筋直接锚入柱内
当锚固长度不满足要求时,如有条件绕过钢柱,应优先按1:6的角度弯折绕过;

梁纵筋绕开柱钢骨
无条件绕过时,如果在型钢柱翼缘或腹板上设置钢筋穿孔,一方面难以保证型钢柱不受削弱,尤其在超髙层建筑中梁主筋较粗,穿型钢时,截面缺损率可能将超过规范所允许面积的要求;另方面对施工质量、施工精度要求较高;所以在设计时可考虑如下两种处理方式:在翼缘板上焊接套筒或连接板。当采用套筒连接时,详图设计较为简单,放样出钢筋位置,在加工制作钢柱时套筒便可以焊到翼缘板上。另外在现场安装钢筋时,中部还需增加一个套筒,否则一根钢筋无法在两根钢柱之间拧到套筒里面。


梁纵筋与柱钢骨套筒连接



梁纵筋与柱钢骨连接板连接
总结下来梁柱节点区梁纵筋做法:

3.4型钢混凝土梁内钢筋与梁钢骨连接处理
超高层中劲性梁一般截面较大,为提高钢筋骨架的整体性,在梁内均设置有纵向构造钢筋和拉筋。拉筋遇钢骨梁时,一般采用在钢骨梁上穿孔或焊接套筒的方式。但在钢骨梁上设置钢筋贯穿孔口时,对钢骨梁造成截面缺损;在钢骨梁上焊接套筒时,若钢筋直径太小,钢筋的车丝质量及与套筒的连接质量难以保证。因此,施工中拉筋遇钢骨梁腹板时,拉筋在腹板位置折弯并焊接于钢骨梁上,焊接长度满足单面焊。同样,该处理方法也可用于墙内有钢板墙时钢筋的处理。

型钢梁内钢筋遇钢骨处理措施
04SRC工程常见问题
4.1 高层型钢混凝土地下过渡层问题
对于型钢混凝土结构,地下室结构往往采用普通钢筋混凝土,而上部结构采用型钢混凝土结构,这时型钢混凝土柱应设置过渡层过渡为钢筋混凝土柱。
地上部分地下部分为两种结构体系,为尽量避免这两种结构刚度和承载力的突变,形成薄弱层,在这两种结构体系中设置过渡层。1) 从设计计算上确定地下室某层型钢混凝土柱可由钢筋混凝土框架柱代替时,上层型钢混凝土柱可向下延伸 1 层或 2 层作为过渡层。2) 过渡层框架柱应按钢筋混凝土柱设计计算。
1) 当地下室顶层可作为上部结构的嵌固部位。《高规》3.9.5条规定: 地下一层的抗震等级应按上部结构采用,地下一层以下抗震构造措施的抗震等级可逐层降低一级。依据此规定,地下二层抗震等级可降一级,轴压比限值可加大,此时用钢筋混凝土柱代替型钢混凝土柱时截面加大不多,钢筋混凝土柱容易满足规范轴压比限值的要求,可将地下二层作为过渡层。地下三层及以下各层可采用钢筋混凝土柱。当地下室仅有一层时型钢筋柱在基础部位采用埋入式柱脚或非埋入式柱脚时应进行计算,当地下室为二层时型钢混凝土柱在基础部位,当地下二层采用混凝土柱计算满足规范要求,型钢混凝土柱在基础部位设计安装锚栓即可,当地下室为三层或以上层,过渡层设于地下二层,型钢混凝土柱在地下二层底设计安装锚栓,地下三层及以下采用钢筋混凝土柱。
2) 当地下室顶层达不到上部结构的嵌固部位的要求。当地下 1 层不能满足上部结构嵌固要求,而地下 2 层能达到嵌固部位的要求时,地下 2 层,地下 1 层抗震等级同上部结构,地下 3 层抗震等级可降一级,此时可将地下 3 层作为过渡层。
4.2 SRC -S 竖向混合结构过渡层的问题
SRC -S 竖向混合结构过渡层的关键问题是过渡层的构造设计和过渡层结构与上、 下结构之间刚度差的控制问题.在SRC -S 竖向混合结构过渡层设计中, 目前较常用的有3 种方式:
1) 过渡层按钢柱设计, 并于过渡层上一层钢柱截面相同, 但要求按构造设置外包钢筋混凝土, 即形成型钢混凝土柱.过渡层钢柱向下伸入下部型钢混凝土柱内, 伸入长度由梁下皮至2 倍钢柱截面高度处, 与型钢混凝土柱内的型钢相连, 在此范围内的型钢翼缘上应设置栓钉;
2) 下部型钢在过渡层下层节点顶面处截断, 上部钢柱采用不同于下部SRC 柱中的型钢截面形式.在过渡层节点顶面处采用钢柱柱脚的设置方式( 埋入式或非埋入式) , 对上部钢柱和下部SRC 柱中型钢进行连接;
3) 下部为RC 结构, 上部为钢结构, 中间采用SRC 结构过渡层.此时, SRC 过渡层柱中型钢一般采用上部钢柱截面形式, 并外包钢筋混凝土, 形成SRC 结构过渡层, 柱脚采用较小锚板的埋入式柱脚连接形式.

《钢骨混凝土结构设计规程》和《组合结构设计规范》对SRC 柱和钢柱连接均采用上述第一种设计方法, 并均提出了相应的栓钉设置构造要求和配筋要求。《组合结构设计规范》未给出过渡层的具体设计方法( 栓钉布置计算、 型钢变截面形式) , 《钢骨混凝土结构设计规程》给出了过渡层柱刚度的控制值, 并建议了栓钉设置数量的简单计算方法。
05超高层中钢管混凝土柱(CFT)与型钢混凝土柱(SRC)选择问题
在超高层建筑的结构设计中,选择合理高效的抗侧力体系不但可以节约材料用量、缩短工期,还可以增加楼层的有效使用面积。型钢混凝土柱( SRC 柱) 和钢管混凝土柱( CFT 柱) 是超高层建筑中两种常用的框架柱截面类型,两者的力学性能、施工性能和经济性能等各有优劣。
一般而言两者综合性能比较如下:
