变压器铭牌
名称:SCB-800/10
额定容量:800KVA
联结组别:Dyn11
阻抗电压:6%
低压侧电流:1156A
变压器短路实验
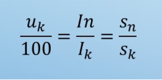
图中我们把变压器低压侧短路,同时把高压侧的(额定频率)电压从零开始慢慢往上调。当调整到一二次侧电流达到额定电流值时,纪录下一次侧的电压U1。我们把U1与额定电压Un之比叫做变压器的阻抗电压Uk,Uk没有单位,它是一个百分位数。阻抗电压的值一般在4%到6%之间。

变压器的阻抗电压(阻抗百分比)是出厂前就通过短路实验测出来的值,会标在铭牌上,那这个参数有什么学问呢?
1.变压器短路电流
设变压器的额定容量Sn=800kVA,它的阻抗电压Uk=6%,它的原边电压是10kV,副边电压是400V,求变压器低压侧短路电流(高压侧短路容量为时)
先计算此变压器低压侧的额定电流 In:

再来计算此变压器低压侧的短路电流 Ik:

这样简单就求出来了?以后岂不是省去带《电气常用数据手册》了

没错,实际上,第一步求的In也能从变压器铭牌上得到,所以算短路电流只需一步即可!
2.变压器短路容量
设变压器的额定容量Sn=800kVA,它的阻抗电压Uk=6%,它的原边电压是10kV,副边电压是400V,求变压器低压侧短路容量(高压侧短路容量为时)

Sn能从变压器铭牌上得到,所以算短路容量也只需一步即可!
最后请出Uk的万能公式:
