1)如何最大限度的利用地热能?
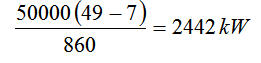
已知地热水的流量是50m3/h、水温49℃,欲最大限度的利用,就需要尽可能降低尾水排放温度,例如降低到7℃排放,可以得到总热量为:

如果地热水的水质不适宜直接进入水源热泵机组,就需要进行间接换热。由于水源热泵机组蒸发器的进水温度不能高于30℃,可取二次水的流量为100m3/h(地热水流量的一倍),采用两级逆流换热,在相同的总热量条件下,蒸发器的进、出水温度可为5℃26℃。
2)如何将5℃/26℃的二次水提升到50℃/60℃的采暖水?
关键是要了解水源热泵机组蒸发器侧可能达到的最大温降。如果蒸发器的温降取5℃~6℃,可以采用四级热泵机组将二次水逐级降低,即26℃20℃、20℃15℃、15℃10℃、10℃5℃。
如果蒸发器的温降可以达到10℃左右,就可以采用两级热泵机组将二次水逐级降低,即26℃15℃、15℃5℃。
而冷凝器侧的温升5℃是没有问题的,可以将四级热泵机组配置为两级并联,即50℃55℃、55℃60℃。
3)可以将得到的总热能,再增加30%?
四级热泵机组的配置,使得采暖系统得到的总热能,除了2442kW以外,还可以加上热泵机组的功耗,如果COP取4.3,得到的总热能为:

4)耗电量和总投资费用建设单位是否能够接受?
当然,上述方案耗电量和总投资费用会比较大,不知道建设单位是否能够接受?可以将设计思路再深化一些,取得建设单位认同以后再进行设计。
5)采暖末端宜采用地面辐射或风机盘管
采用热泵时,采暖水温度如果想达到高于50℃/60℃,则COP会大幅度降低。如果以95℃/70℃为基准,当水温降低为85℃/60℃时,散热器的散热量约降低为84%,当水温降低为60℃/50℃时,散热器的散热量约降低为57%,因此采用散热器采暖是不合理的,宜采用地面辐射或风机盘管。
