一、框架柱设计概要
★ 柱截面形式: 箱形、焊接工字形、H型钢、圆管等
★ 截面估计:按1.2N的轴心受压构件,3~4层作一次截面变化,厚度不宜超过100mm
★ 板件宽厚比,见下表
★ 长细比:多层(12层)框架柱在6~8度设防时不应大于120,9度设防时不应大于100。高层(12层)框架柱在设防烈度为6,7以及8和9度时,分别为120,80以及60

★ 《高层民用建筑钢结构技术规程》(JGJ99-98)规定:计算在重力和风力或多遇地震荷载作用组合下的稳定性时,如果层间位移标准值不超过层高的1/250,则带支撑(或剪力墙)框架柱的计算长度系数可取为m=1.0;层间位移标准值不超过层高的1/1000时,纯框架柱的计算长度系数亦可由吴侧移公式计算确定。
★ GB50017对有支撑框架分为强支撑框架和弱支撑框架。
二、柱与梁的连接
★ 常见形式:刚性连接
★ 做法:
★ 完全焊接
★ 完全栓接
★ 栓焊混合
★ 改进形式完全焊接
1】骨形连接(Dog bone)
2】梁端部加腋
3】悬臂梁段
★ 柔性连接形式:
1】连接角钢
2】端板
3】支托
★ 半刚性连接 :
1】端板-高强螺栓连接方式
2】上、下角钢和高强螺栓方式
三、水平支撑布置
★ 类型:横向水平支撑、纵向水平支撑
★ 作用:
★ 临时水平支撑:为建造和安装的安全而设置,在施工完毕后拆除;
★ 永久水平支撑:水平构件(如楼盖或屋盖构件)不能构成水平刚度大的隔板时设置
1】形式:平面桁架
四、竖向支撑设计
★ 构成:
通常为贯通整个建筑物高度的平面桁架形式,通过在两根柱构件间设置一系列斜腹杆★ 构成
分类:
竖向中心支撑、竖向偏心支撑
★ 布置:
可以在建筑物纵向的一部分柱间布置,也可以在横向或纵横两向布置;其在平面上的位置既可沿外墙布置,也可沿内墙布置
五、中心支撑
★ 形式:
★ 十字交叉斜杆(图a),单斜杆(图b),人字形斜杆(或V形斜杆,图c)或K形斜杆(图d)体系
★ 抗震设防的结构不得采用K形斜杆体系
★ 支撑体系都可以跨层跨柱设置
★ 长细比:
1】非抗震设防结构:受拉的杆件长细比不应大于300 ,受拉、受压杆件的长细比不应大于150
2】抗震设防结构:
★ 板件宽厚比:
1】6度抗震设防和非抗震设防:按《钢结构设计规范》(GB50017)
2】抗震设防结构:
★ 截面形式:
1】双轴对称截面
2】单轴对称截面,采取防止绕对称轴屈曲的构造措施
★ P-△效应导致的附加效应:
1】在重力和水平力下,承受水平荷载引起的剪力外,还承受水平位移和重力荷载产生的附加弯曲效应,楼层附加剪力为:
人字形和V形支撑尚应考虑支撑跨梁传来的楼面垂直荷载。
2】十字交叉支撑,人字形支撑和V形支撑的斜杆,应计入柱在重力下的弹性压缩变形在斜杆中引起的附加压应力:
对十字交叉支撑的斜杆
对于人字形和V形支撑的斜杆
3】在多遇地震效应组合作用下,人字形支撑和V形支撑的斜杆内力应乘以增大系数1.5
★ 支撑斜杆按受压杆验算
对于带有消能装置的中心支撑体系,支撑斜杆的承载力应为消能装置滑动或屈服时承载力的1.5倍。
★ 中心支撑节点构造

六、偏心支撑
★ 形式:
门架式(图a),单斜杆式 (图b),人字形(图c)或V字形 (图d)
★ 特征:
★ 支撑斜杆不交于梁柱节点
★ 耗能梁段:正常的荷载状态下,偏心支撑框架具有足够水平刚度;在遭遇强烈地震作用时,耗能梁段首先屈服吸收能量

★ 长细比:不应大于120
★ 板件宽厚比:不应超过GB50017规定的轴心受压构件在弹性设计时的宽厚比限值
★ 耗能梁段的局部稳定性
1】翼缘板自由外伸宽度b1与其厚度tf比:

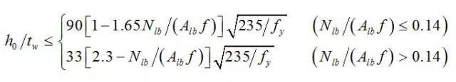
2】腹板计算高度h0与其厚度tw之比:
