管道布置
对管道进行合理的深化和布置是管道支吊架设计的前提条件。欲设计安全使用、经济合理、整洁美观的管道支吊架,首先需对管道进行合理的布置,其布置不得不考虑以下参数:
1. 管道布置设计应符合各种工艺管道及系统流程的要求;
2. 管道布置应统筹规划,做到安全可靠、经济合理、满足施工、操作、维修等方面的要求,并力求整齐美观;
3. 在确定进出装置(单元)的管道的方位与敷设方式时,应做到内外协调;
4. 管道宜集中成排布置,成排管道之间的净距(保温管为保温之间净距)不应小于50mm。
5. 输送介质对距离、角度、高差等有特殊要求的管道以及大直径管道的布置,应符合设备布置设计的要求,并力求短而直,切勿交叉;
6. 地上的管道宜敷设在管架或管墩上,在管架、管墩上布置管道时,宜使管架或管墩所受的垂直荷载、水平荷载均衡;
7. 管道布置应使管道系统具有必要的柔性,在保证管道柔性及管道对设备、机泵管口作用力和力矩不超出过允许值的惰况下,应使管道最短,组成件最少;
8. 应在管道规划的同时考虑其支承点设置,并尽量将管道布置在距可靠支撑点最近处,但管道外表面距建筑物的最小净距不应小于100mm,同时应尽量考虑利用管道的自然形状达到自行补偿;
9. 管道布置宜做到步步高或步步低,减少气袋或液袋。不可避免时应根据操作、检修要求设置放空、放净。
管架跨距
管架的跨距的大小直接决定着管架的数量。跨距太小造成管架过密,管架数量增多,费用增高,故需在保证管道安全和正常运行的前提下,尽可能增大管道的跨距,降低工程费用。但是管架跨距又受管道材质、截面刚度、管道其它作用何载和允许挠度等的影响,不可能无限的扩大。所以设计管道的支吊架应先确定管架的最大跨距,管架的最大允许跨距计算应按强度和刚度两个条件分别计算,取其小值作为推荐的最大允许跨距。
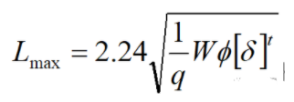
01按强度条件计算的管架最大跨距的计算公式:

Lmax管架最大允许跨距(m)
q管道长度计算荷载(N/m),q=管材重+保温重+附加重
W管道截面抗弯系数(cm3)
管道横向焊缝系数,取0.7
[]t钢管许用应力钢管许用应力(N/mm2)
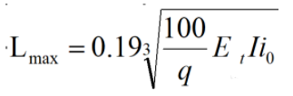
02按刚度条件计算的管架最大跨距的计算公式:

Lmax管架最大允许跨距(m)
q管道长度计算荷载(N/m),q=管材重+保温重+附加重
Et刚性弹性模量(N/mm2)
I管道截面惯性矩(cm4)
i0管道放水坡度,取0.002
例:采用48K的离心玻璃棉保温,保温厚度为50mm的冷冻水管,其管道规格为3258无缝钢管,其最大允许管道间距为多少?
管道长度荷载:
q=78503.140.008(0.325-0.008)+10003.14(0.325-0.0082)2/4+483.140.05(0.325+0.05)=140.29kg/m=1402.90 N/m
查相关资料得:
管道截面抗弯系数W=616 cm3
钢管许用应力[]t=112
管道截面惯性矩I=10016 cm4
刚性弹性模量Et=2.1105 N/mm2
根据以上公式分别计算得强度条件下的Lmax1=13.14m
根据以上公式分别计算得刚度条件下的Lmax2=27.40m
取最小值,故该管道的最大允许管道间距为13.14m
根据相关规范规定的管道支吊架最大间距确定管道最大允许跨度,如《通风与空调工程施工质量验收规范》GB50243-2016

管架分析
01管道支架介绍
用来支撑管道的结构叫管道支吊架,管道在敷设时都必须对管道进行固定或支撑,固定或支撑管子的构件是支吊架。管道支吊架一般由管座、管架柱或管架吊杆(简称柱或吊杆)、管架梁(简称梁)和支撑节点组成。

02管架荷载分析
1、垂直荷载
管道支吊架垂直荷载根据性质可分为基本垂直荷载和可变垂直荷载,其中基本垂直荷载指管道支吊架所承受的管道重力、介质重力、保温层等附件的重力等永久性荷载。
可变垂直荷载指管道所承受的活荷载、沉积物重力和发生地震时所应该承受的特殊变化的荷载。因可变垂直荷载是无法精确计算的,为此我们将管道支吊架的基本垂直荷载乘以一个经验系数(一般为1.2~1.4)作为管架垂直方向的计算荷载。

管道支吊架基本垂直荷载计算,可先将复杂的管道支架体系近似的看作简支梁,根据受力分析,管架B所承受的基本垂直荷载为GB=(GL1+GL1)/2
因管道支吊架在一个工程里数量种类繁多,不可能一一计算,为此我们只需考虑同类型支架的最不利受力状况即可,根据管道支吊架的最大允许跨度来计算最不利支架,此时就只需计算长度为最大允许跨度L的管道、介质、保温层的重力GB即可。其重力方向的计算荷载为G=GB (=1.2~1.4)
2、水平荷载
管道水平方向的荷载是作用在管架上的水平推力,根据支架类型可分为活动管架上的水平推力和固定管架上的水平推力。
a.活动管架水平推力主要来自管道摩擦力,吊杆水平推力可忽略;
水平推力即为管道摩擦力f=G (为摩擦系数,G为管道垂直荷载)
b.固定支架的水平推力主要来自补偿器的弹性变形力。
采用补偿器补偿的管道,其作用在固定管架上的水平推力为补偿器被压缩或拉伸所产生的反弹力。
水平推力=补偿器反弹力T=L (为补偿器的弹性模量,L为补偿器发生的变形长度)
采用自然补偿的管道,是利用管道的自然弯曲形状所具有的柔性以补偿管道的热胀和冷缩位移,如图所示。

固定支架变形管道长度为L,补偿臂管道长为Lb
管道安装温度按t1℃考虑,管道工作温度为t2℃,故钢管材质的管道会在温度变化下缩短L=TL (式中为钢管的线膨胀系数,T 为温差,L为固定支架变形管道长度)。
故作用在管道补偿上的推力为T=3LEI/Lb3 (E为管道的弹性模量,I为管道的惯性矩)
管架受力计算示例
根据以上管架的受力分析,现以上海环球金融中心低区空调水主干管进行分析计算
如下图所示,现有2根DN400冷水管,管材为无缝钢管4269,工作温度为7-14℃;2根DN200热水管,管材为无缝钢管2196,工作温度为50-55℃,1根DN100蒸汽管道,管材为无缝钢管1085,工作温度为108℃,请对该管组的防晃支架进行受力分析。

根据规范,因DN100的管架最大跨距为5m,故该管组设置的共用支架最大跨距为5m,由此根据最不利情况支架间距为5m分析管架的受力。
01管道垂直荷载计算
(1)DN400单根管道作用在管架上的计算荷载
DN400单根管道垂直方向的基本荷载(支吊架间距为5米)
钢管重量=7850(0.426-0.008)0.00853.149.8=4039N
保温重量=48(0.426+0.05)0.0553.149.8=176N
介质重量=1000(0.426-0.0082)253.149.8/4=6466N
单根管段计算荷载=(钢管重量+保温重量+介质重量)1.35 (考虑35%可变荷载。)
单根DN400冷水管道计算荷载G400=(4039+176+6466)1.35=14420N
(2)DN200单根管道作用在管架上的计算荷载
DN200单根管道垂直方向的基本荷载(支吊架间距为5米)
钢管重量=7850(0.219-0.006)0.00653.149.8=1544N
保温重量=48(0.219+0.05)0.0553.149.8=100N
介质重量=1000(0.219-0.0062)253.149.8/4=1649N
单根管段计算荷载=(钢管重量+保温重量+介质重量)1.35 (考虑35%可变荷载。)
单根DN200热水管道计算荷载G200=(1544+100+1649)1.35=4446N
(3)DN100单根管道作用在管架上的计算荷载
DN100单根管道垂直方向的基本荷载(支吊架间距为5米)
钢管重量=7850(0.108-0.005)0.00553.149.8=623N
保温重量=48(0.108+0.05)0.0553.149.8=59N
介质重量=1000(0.108-0.0052)253.149.8/4=370N (考虑蒸汽管道水压试验时管道内介质的重量。)
单根管段计算荷载=(钢管重量+保温重量+介质重量)1.35 (考虑35%可变荷载。)
单根DN100蒸汽管道计算荷载G100=(623+59+370)1.35=1421N
02管道水平荷载计算
由于该管架为活动支架,所以管架水平方向的受力为管道在管架上滑动摩擦力。
DN400管道的水平推力 T400=f400=G400=0.314420=4326N
DN200管道的水平推力 T200=f200=G200=0.34446=1334N
DN400管道的水平推力 T100=0
03管道受力平面图

管架梁选型
根据管架梁的受力分析,管架梁在管道重力下或在管道推力作用下,有可能出现2种现象,一是管架梁会沿着受力方向被剪断,另一种是管架梁会沿着受力方向发生过大弯曲变形,严重的会发生弯曲折断。所以合理的选择管架梁就是使管架梁能刚好满足梁的抗弯和抗剪要求。
01管架梁内力计算
将管架假设为刚性结构的简支梁,分别根据管架梁的垂直受力和水平受力情况,按照平面简支梁进行内力分析,并根据静力方程求得管架梁的内力,并绘制梁的剪力图和弯矩图,求出最大剪力和最大弯矩。
根据以上示例管架受力分析得


得到管架梁垂直方向的最大弯矩为17715Nm,最大剪力为24843N
管架梁水平方向的最大弯矩为3155Nm,最大剪力为5521N
(1)管架梁抗弯强度计算
管架梁的最大弯矩计算得出后,根据以下公式对管架梁的材料规格型号进行选择:

式中:rx、ry截面塑性发展系数,一般型钢取1.05
Mx、My所验算梁截面绕X轴和绕Y轴的最大弯矩(Nm)
Wnx、Wny所验算梁截面对X轴和对Y轴的截面系数(cm3)
钢材的抗拉强度,一般型钢钢材取210MPa
采用验算法将初步估计型钢规格所对应的截面系数代入以上公式进行验算,满足该方程的型钢可作为管架梁的备选材料。现仍将以上示例管架为例,依据管架梁的最大弯矩,对管架梁的材料进行选型:

由管架梁选型计算表得出:
角钢20018、槽钢280c、工字钢25a、H型钢150150710或2根角钢16014背面拼装、2根20a槽钢背面拼装均满足弯矩承重要求,因H型钢150150710比重最小,从经济方面我们暂定H型钢150150710作为管架梁。
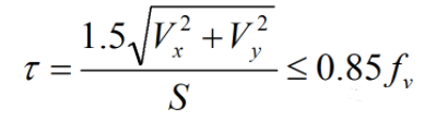
(2)管架梁抗剪强度校验
根据管架梁的抗弯强度计算所选出的支架,还需检验其是否满足管架梁的剪切要求。参照如下公式对管道所承受的剪力进行校验。

式中:抗剪强度
Vx、Vy梁所承受的X轴方向、Y轴方向的最大剪力(N)
S梁截面面积(m2)
v钢材的抗拉强度,一般型钢钢材取160MPa
参照以上示例对所选择的管架梁进行抗剪校验
故改型钢满足抗剪要求,所以管架梁采用H型钢150150710。
管架柱选型
根据管架梁的受力分析,为满足管架梁所受管道重力和水平推立的平衡,管架柱(或吊杆)给予管架梁一个支反力来维持管架梁及梁上各管道的平衡。我们由此梁的支反力对管架柱(或吊杆)进行选型。根据分析,管架柱的受力有2个,一个是垂直方向的拉力(或压力),另一个是水平方向的推力。
1. 管架柱的横截面计算公式
S=1.5R/(0.85)式中S为管架柱的最小截面积,R为管架柱竖直方向的拉力或压力,为钢材的抗拉强度,一般型钢钢材取210MPa
所以以上示例中管架柱的最小横截面积为
S=1.521843/(0.85210)=184mm2
2. 管架柱弯曲计算
式中:r截面塑性发展系数,一般型钢取1.05
F管架梁作用给管架柱的水平支座反力N
h管架梁距离支撑点的高度
W管架柱的最小截面系数(cm3)
钢材的抗拉强度,一般型钢钢材取210MPa
所以以上示例中管架柱的最小截面系数为
W=1.555211/(0.851.05210)=44 cm3
查型钢规格表,使所选择的型钢横截面积大于184mm2,同时其截面系数又必须大于44cm3,我们为了管道支架的整体协调,管架柱也和管架梁采用同规格的H型钢150150710。