钢结构的破坏一般源于结构失稳。失稳的意思是材料没有达到屈服强度而破坏,弹性失稳和弹塑性失稳都叫失稳。

这个楼的倒塌也是源于失稳。有一个视频,记录了楼的倒塌过程楼是瞬间自前向后往一侧倒掉的,典型的结构失稳,图1为楼倒塌后的状态。为什么是稳定破坏而不是强度破坏呢?关键是这个瞬间。古人云:失稳如失恋,发生在瞬间。那强度破坏是什么呢?强度破坏如恋爱,时间有长有短,但需要火候。看,古人就是智慧!
那房子为什么会失稳呢?这就要汇集一下目前的背景材料,虽然不完全准确。该建筑原为四层钢结构,双向钢框架。纵向(长方向)六跨,横向(短方向)2跨。后来经过18年的改造,加了3层,增加了酒店功能,砌了隔墙,上部14米跨加了柱子改为两跨。一个重要的信息:房子是在当期的一次新改造过程中倒塌的。改什么呢?一层有人退租,改造准备重新装修出租。还有一个信息是承重墙破坏了。框架结构有承重墙吗?没有!那是什么墙呢?隔墙。因为以前底层有六家单位,之间一定有隔墙分隔,而且是横隔墙。改造,如果两家并一家,打掉一排横隔墙。三家并两家,打掉两排横隔墙,没必要往下推,因为不可能并成一家。
综合起来分析,结果是一句话,横隔墙打掉,房子失稳。那你说横隔墙不是承重墙,打掉它有什么关系?它的确不承重,打掉它与直接承重没关系。但它目前对柱起到支承的作用,相当于挡土墙。打掉它,柱子失去了侧限,无侧移框架变成有侧移框架,引起结构失稳。

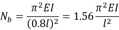
为说明两种失稳的差别,以一个最简单的单层排架为例,见图2。无侧移(图2b)时,柱子计算长度,临界力为

有侧移(图2c), 柱子计算长度,临界力为

可见,无侧移和有侧移承载力相差6倍。
当然这是图2的情况。倒塌的楼要复杂一些,因为上面的隔墙还在,柱子整体抗弯刚度不会变化这么大,但也一定有不小的变化,有资料时可以算清楚。
你会说,隔墙是后砌的,非承重,当初不是为柱提供支承用的。的确是这样。但无心插柳的隔墙的确起到了对柱子形成侧限的作用,将有侧移框架变成无侧移框架。据此,我们首先分析了失稳原因。

那18年改造前原结构没有隔墙,为什么没倒呢?
这是个好问题,牵扯面很多,包括设计是否合理或正确等问题,我们暂且不谈,因为这不是我们这篇文章所关注的。这个设计缺陷固然很多,如窄翼缘HN形工字钢柱截面,纵向(长方形)刚度弱得很,纵向框架梁与柱弱轴铰接,楼面砼板与钢梁无栓钉,这些都是设计不足,但不是倒塌直接原因,因为每一条的不足都不足以使结构倒塌失稳。比如最后面这个栓钉,没地震时栓钉不起作用,当然你会说有栓钉结构倒塌时会拉一下楼板,但这是果不是因。
原四层钢框架的确是一个有侧移框架。从使用功能看,起先只是盖了一个空旷的楼用于出租,荷载不大。以前面讲的结构安全度可以勉强度日。18年四层改7层,荷载加了近一倍,首先把安全度吃掉了。但幸运的是,歪打正着,隔墙虽然不是承重墙,但变成了挡土墙,挡住了结构横向的侧移,将有侧移失稳的结构变成无侧移失稳的结构,大大提高了稳定承载力。再后来,就是现在,一装修,老板借专家的一句非承重墙,可砸(肖大师语),将结构恢复到原始的有侧移状态,这时的翻倍荷载,结构终于倒下了。
再次声明,以上只为演习结构之用,与事故结果无关,如有雷同,纯属巧合,如若不同,纯属虚构。
如果你要说,为什么纵轴这么弱,为什么不沿纵轴失稳?其实看了前面的推演,回答这个问题并不难,篇幅问题,就留给大家琢磨了。
以下轻松时刻,介绍一下中国的古建筑如何抗失稳。
这里说的中国古建为木框架、砖填充墙,就是所谓地震时墙倒屋不塌的那种。木结构梁柱为榫卯连接,榫卯失效前为半刚接,失效后为铰接。木柱放在柱脚石上,靠摩擦力铰接,滑动后铰接变成滑动连接。所以单纯的木结构大变形时是一个机构,那它靠什么保持稳定呢,关键是墙体。
平时墙是木柱的侧向支承,使之为无侧移框架,榫卯半刚接抗弯,柱底不滑动铰接,这就是一个无侧移的门式构架呀。加上木多为一层结构,自重轻,所以这种结构形式能延续千年而不衰,不信,你看看北京的老四合院建筑。地震时,墙体作为第一道防线承载并耗能。地震不大,墙在房子在;地震大,两种情况,一种是墙倒强震过,木框架可以承受后面减弱的地震力而不倒,刚架木结构仍成立。另一种是墙倒后,后续地震仍大,木结构不堪重负,刚架变机构,倒了。所以古代木结构虽然能抗震,但也并非完全不倒,这是由这种体系决定的,所以为什么要发展,为什么要科学,为什么要科学发展,就是这个道理。
最后,给大家看几张照片,是我去年参观重庆的一个古寺看到的(图3-5)。当木结构屋盖较重时,将柱子稍微倾斜一个角度,利用其水平分力抵抗类似地震力等较大的水平力。古人不喜欢斜柱,所以中国古建筑没有支撑,应县木塔是个特例,因为它太高了,不打撑呆不住,但也是打的暗撑,外面看不到。我仔细看了下,图3-5照片中柱的倾斜不是后天形成的,而是建造时有意为之。大家如果不信,以后看古建时,也可以留意一下古人的这一点睛之笔。


