小编今天就来说说规范为什么要对侧向刚度比进行限制,并尝试分析规范对侧向刚度比公式进行层高修正的原因。
为什么要控制刚度比
除了建筑需求造成的软弱层外,我们实际工程中经常碰到的侧向刚度不均匀主要来自于加强层的设置。
设置加强层可以提高结构的整体刚度,但也会在加强层的下部形成软弱层,带来局部的变形和受力集中。设计过带加强层的高层结构的工程师应该都深有体会,加强层下部几层的柱子配筋往往会特别大,给我们的设计带来巨大的挑战,同时也是结构的薄弱环节。
下面小编再通过几个生活中的例子,更直观的说明一下加强层给结构带来的影响。
1.提高整体刚度
很多植物都是靠着中空有节的结构,用最省的材料达到了最高的高度。例如图1中的竹子依靠竹节,也就是一个个加强层,大大提高了自身的整体刚度。

再如图2中的一摞纸,在夹上两个夹子后,相当于在结构中部和顶部设置了两个加强层,整体刚度显著提升,位移明显减小。


2.形成薄弱部位
图3是倒伏的麦秆,我们可以看到,秆茎弯折的地方都位于秆茎节的下部区域。再如,大家有挥动芦苇杆的经验,在来回挥舞芦苇杆几次之后,芦苇杆弯折的地方也都是芦苇杆节的下方。

加强层在提升结构整体刚度的同时,也会给结构带来巨大的风险,使变形和受力集中到刚度相对较小的加强层下部楼层。因此,为了避免形成结构软弱层,规范建议一般结构应保持侧向刚度的均匀,并对楼层的侧向刚度比做出了限制。
侧向刚度比
1.侧向刚度比
高规3.5.2-1条规定,对框架结构,楼层与相邻上层的侧向刚度比1可按下式(1)计算,且本层与相邻上层的比值不宜小于0.7,与相邻上部三层刚度平均值的比值不宜小于0.8。

可以用上式来表达侧向刚度比的原因,是我们非常熟悉的刚度的定义:刚度就是引起单位位移所需的力。故楼层的侧向刚度为Ki = Vi/i,楼层间的侧向刚度比自然也就可以用上式来表示了。
2.考虑层高修正的侧向刚度比
高规3.5.2-2条规定,对框架-剪力墙、板柱-剪力墙、剪力墙、框架-核心筒、筒中筒结构,楼层与相邻上层的侧向刚度比2可按下式(2)计算,且本层与相邻上层的比值不宜小于0.9;当本层层高大于相邻上层层高的1.5倍时,该比值不宜小于1.1;对结构底部嵌固层,该比值不宜小于1.5。

对比上面(1)式的侧向刚度比,(2)式进行了层高修正,高规条文说明对进行层高修正的原因解释为:对于带有剪力墙的结构,其变形模式为弯曲变形或弯剪变形,由于楼面体系对侧向刚度贡献较小,当层高变化时刚度变化不明显。
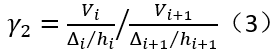
肖从真大师对层高修正的解释为:可以将(2)式看成下式(3),位移与层高的比就是层间位移角。由于层间位移角既可以表征剪切变形又可以表征弯曲变形,因此可以用引起单位层间位移角所需的力,来表达带有剪力墙结构的侧向刚度。

小编认为可以通过D值法来进行类比,从而理解进行层高修正的原因,为大家提供一个思路。熟悉D值法的小伙伴可以跳过前两节对D值法的介绍,直接看3.层高修正原因分析。
层高修正原因分析
1.等截面单跨静定梁的杆端剪力
首先根据我们非常熟悉的等截面单跨超静定梁的杆端剪力,我们知道当杆端发生单位位移时,对于两端固定的杆(如图4),杆端的剪力,也就是杆的刚度为K=12i/l^2;对于一端固定一端简支的杆(如图5),杆端的剪力,即杆的刚度为K=3i/l^2。也就是说,杆的刚度与1/l^3成正比,且当一端固定时,另一端的约束越强,杆的刚度越大。


2.D值法
D值法以上述超静定梁的刚度为基础,并近似考虑刚架节点转角对柱侧向刚度的影响。D值法在计算柱刚度时,D=12i/l^2,即通过来考虑上面提到的杆端约束的强弱问题。的值根据柱在所在的不同位置(如:底层、中间层或顶层)取为:=(0.5+K)/(2+K)或=K/(2+K)。无论哪种情况,都是随着K值的增大而增大的,K是杆端节点处梁刚度和与柱刚度和的比值。
3.层高修正原因分析
上面的分析可以帮助我们了解,楼层层高的变化对楼层刚度到底会产生怎样的影响。以某一层的层高较其他层增高为例,我们可以得知:当层高变高,即柱子长度增长时,根据K=12i/l^2,楼层的侧向刚度会发生与1/l^3成正比的减小;与此同时,由于杆端节点处柱刚度和的减少,梁刚度和相对增大,即值会变大;并且梁刚度和的绝对值越小,其增大的相对幅度就会越大。也就是说,对于柱端约束条件并非严格两端固定的情况,当层高变高时,由于的影响,楼层刚度的减小会被削弱,且楼面刚度越小,被削弱的程度越高。
现在,我们终于可以来看一看发生在框架结构和剪力墙结构中的事情有什么不同了。为了简化分析,减轻大脑的负担,我们姑且极端地认为相对于剪力墙结构,框架结构的楼面结构对侧向刚度贡献很大,可以将柱子固定住,框架结构可以被看成是满足两端固定的情况(如图6),即K=12i/l^2,框架结构楼层的侧向刚度与1/层高^3严格成比例。

与之相对,对于剪力墙结构,我们可以将楼面结构对剪力墙结构的影响与2.D值法分析中提到的梁刚度对柱刚度的影响进行类比。当层高变高时,值会变大,故剪力墙结构楼层的侧向刚度会比与1/层高^3严格成比例时偏大,且楼面刚度越小,偏大越明显。这就是朱总在四大名著高规应用与分析中提到的,在楼以弯曲变形或弯剪变形为主的结构中,楼面结构对侧向刚度的贡献较小,层高变化时侧向刚度变化滞后。因此高规对侧向刚度比进行层高修正,来考虑上述影响。
