
一、洪水对建筑物的破坏形式
我国住宅建筑物,特别是农村,没有专业设计没有任何防洪措施,包括现在的很多城市建筑也没有防洪设计,一旦遭遇洪水,都会对建筑物造成很大影响。其对建筑的破坏的主要形式有:
(1)冲击破坏。洪水在水位差的影响下,产生水压形成水流直接冲击建筑和构筑物,破坏极大,一般来说,距离溃口越近,洪水的流速越大,对建筑的危害越大。

(2)浸泡破坏。洪水淹没后,一直保持在某一水位,经过一段时间才会褪去。由于洪水浸泡,造成对房屋主体建筑材料力学性能的弱化,地基承载力的扰动与不均匀沉降,小编18年就做过山东寿光某项目,由于洪水来袭,因地基承载力劣化而搁置。

(3)波浪破坏。再气候恶劣的地区,处于洪水中的建筑物在大风天气下会受到洪水波浪荷载的作用力,据计算表明在6-9级风的情况下,作用在建筑物墙面上波浪动水压力将达到2-10MPa,这种情况下,一般非抗洪设计的建筑的窗间墙,窗下墙将会损坏。

二、建筑物受的洪水作用力分析
洪水对建筑物的作用力主要有静水压力、动水压力、水流的侵入力和漂流物冲撞力,一般建筑物是多种力同时作用,从而使建筑物破坏。
1、静水压力。当洪水流速较缓时,建筑物近似受到静水压力:

由于静水压力呈三角形分布,对于单位宽度的墙体受到的静水压力的作用(合力作用点作用在水底面的H/3处):

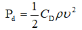
2、动水压力。当洪水流速较快时,建筑物近似受到静水压力和动水压力的共同作用:

PD为动水压力;CD为绕阻力系数(拖曳系数),与建筑物接触水面和洪水深度有关,取值1.25~2.0;v为洪水流速;实际上建筑墙体的动水分布是不均匀的,在理论上我们假设动水压力是随着水深均匀分布的。
3、水浮力。当洪水进入建筑物内部时,侵入力逐渐增强,特别是水流进入墙体和建筑物的基础部分,会对建筑物产生上浮力,当浮力较大时,会使建筑物产生倾斜或倒塌。
4、漂浮物冲击力。当洪水中固体漂流物和洪水一起流动,可对建筑产生冲击力,冲击力的大小与漂流物形状、刚度和建筑物的刚度有关,基于冲量定理,漂流物对建筑物的冲击力:

其中为漂流物对建筑的作用时间,其计算公式如下:

KD为固体漂流物的刚度,KM为建筑物受冲击体的刚度。以上公式基于下面的假设:漂流物再洪水表面运动而且流动速度和洪水相同,作用在建筑物表面运动而且流动速度和洪水相同,作用在建筑物表面时按垂直冲击处理,对于冲击时间,按照有关规范不同建筑材料取值不同,木结构0.7~1.0s,钢筋混凝土结构可取0.3~0.6s,钢结构可取0.1s。
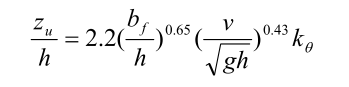
5、洪水对地基的冲刷作用。美国联邦应急管理署修正了科罗拉达州立大学对桩基冲刷深度的计算,提出建筑物地基最终冲刷深度公式,并列入美国规范:

Zu为地基最终冲刷深度;bf为建筑物迎流方向长度一半;K0为建筑物迎流面夹角有关的系数。
三、总结与思考
在洪水灾害过程中,建筑物可能同时承受多种荷载同时作用。在我国新版《建筑结构可靠性设计统一标准》里面已经明确了波浪力、水位变化的水压力、多遇地震为可变荷载,洪水作用与罕遇地震都是偶然荷载,抗洪设计需要考虑几个相关参数如水深、流速等来分析结构。还需要考虑不同地区洪水发生的重现期确定荷载的分项系数,检验建筑物是否满足要求从而更有利建筑物的防灾设计。而发达国家采用许用应力法计算出洪水荷载,然后按照一定的分项系数进行荷载组合进行不同工况下的结构中的内力。基于我国结构设计现状偶然荷载与洪水来临后一般不会第一时间对建筑物造成严重后果,现有的结构设计也并没有考虑偶然作用的洪水作用,洪水对建筑结构的影响还需要进一步探索。