现行民规对第二类防雷建筑物划分解释
选择防雷装置的目的在于将需要防直击雷的建筑物的年损坏危险度R值(需要防雷的建筑物每年可能遭雷击而损坏的概率)减到小于或等于可接受的最大损坏危险度Rc值(即RRc)。
本章中对于需作计算年雷击次数界限的条文采用每年10-5的Rc值,即每年十万分之一的损坏概率。
基于建筑物年预计雷击次数(N)和基于防雷装置或建筑物遭雷击一次发生损坏的综合概率(P),对于时间周期t=1年,在NPt 1的条件下(所有真实情况都满足这一条件),下面的关系式是适用的:
R = 1 - exp(-NPt)= NP, 即R = NP (2.l)
P = PiPid+PfPfd (2.2)
式中:Pi──防雷装置截收雷击的概率,或防雷装置的截收效率(也用Ei表示),其值与接闪器的布置有关;
Pf──闪电穿过防雷装置击到需要保护的建筑物的概率,也即防雷装置截收雷击失败的概率,等于(1-Pi)或(1-Ei);
Pid──防雷装置截收雷击后所选用的各种尺寸和规格保护失败而发生损坏的概率;
Pfd──防雷装置没有截到雷击而发生损坏的概率。
一次雷击后可能同时在不同地点发生n处损坏,每处损坏的分概率为Pk,这些分概率是并联组成,因此,一次雷击的总损坏概率为:
分损坏概率包含这样一些事件,如爆炸、火灾、生命触电、机械性损坏、敏感电子或电气设备损坏或受到干扰等等。
在确定分损坏概率时,应考虑到同时发生两类事件,即引发损坏的事件(如金属熔化、导体炽热、侧向跳击、不容许的接触电压或跨步电压,等等)和被损坏物体的出现(即人、可燃物、爆炸性混合物等等的存在)这两类事件同时发生。
出现引发损坏的事件的概率直接或间接与闪击参量的分布概率有关,在设计防雷装置和选用其规格尺寸时是依据闪击参量的。
在引发事件的地方出现可能被损坏的周围物体的概率取决于建筑物的特点、存放物和用途。
为简化起见,假定:
1.在引发事件的地方出现可能被损坏的周围物体的概率对每一类损坏采用相同的值,用共同概率Pr代替;
2.没有被截到的雷击(直击雷)所引发的损坏是肯定的,损坏的出现与可能被损坏的周围物体的出现是同时发生的,因此,Pfd = Pr;
3.被截收到的雷击引发损坏的总概率只与防雷装置的尺寸效率Es有关,并假定等于(1-Es)。Es规定为这样一个综合概率,即被截收的雷击在此概率下不应对被保护空间造成损害。Es与用来定接闪器、引下线、接地装置的尺寸和规格的闪击参量值有关。
将上述假定代入(2.2)式,即将以下各项代入:Pi用Ei代入,Pf用(l-Ei)代入,Pfd用Pr代入,Pid用Pr(1-Es)代入;此外,引入一个附加系数Wr,它是考虑雷击后果的一个系数,后果越严重,Wr值越大。因此,(2.2)式转化为:
P = PrWr(l-EiEs)(2.4)
概率Pr应看作是一个系数,它表示建筑物自身保护的程度或表示考虑这样的真实情况的一个因素,即不是每一个打到需要防雷的建筑物的雷击和不是每一个使防雷装置所选用的规格和尺寸失败的雷击均造成损坏。Pr值主要取决于建筑物的特点,它的结构、用途、存放物或设备。
= EiEs(2.5)
或EiEs为防雷装置的效率。
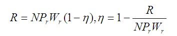
从(2.1)、(2.4)、(2.5)式得:

公式
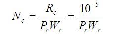
如果R值采用可接受的最大损坏危险度Rc = 10-5,并使
式中:Nc──建筑物可接受的年允许遭雷击次数。

(2.6)
因此,防雷装置所需要的效率应符合下式:

(2.7)
