现行民规对第三类防雷建筑物划分解释
根据IEC-TC81的有关资料,第三类防雷建筑物所装设的防雷装置的有关值见表2.2。

表2.2
对一般建筑物和公共建筑物所采用的PrWr值见表2.3。

表2.3
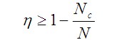
从表2.2得保护第三类防雷建筑物的防雷装置的效率值为0.8。从表 2.3查得公共建筑物的Nc值为 1.210-2。
将这两个数值代人关系式(2.7),

(2.7)
得,所以。这表明对这类建筑物如采用第三类防雷建筑物的防雷措施,只对N0.06的建筑物保证Rc值不大于10-5。当N>0.06时Rc值达不到(即大于)10-5,因此,当N>0.06时升级采用第二类防雷建筑物的防雷措施。
将部、省级办公建筑物列入,是考虑其所存放的文件和资料的重要性。人员密集的公共建筑物,如集会、展览、博览、体育、商业、影剧院、医院、学校等建筑物。
从表2.2得保护第三类防雷建筑物的防雷装置的值为0.8。从表2.3查得一般建筑物的Nc值为610-2。将这两个数值计入关系式(2.7),得出,所以。这表明对这类建筑物如采用第三类防雷建筑物的防雷措施。只对N0.3的建筑物保证Rc值不大于10-5。当N>0.3时Rc值达不到(即大于)10-5,因此,当N>0.3时升级采用第二类防雷建筑物的防雷措施。