如何计算挖孔桩土方工程量?
【例】根据图中的有关数据和上述计算公式,计算挖孔桩土方工程量,土壤类别为二类土。

挖孔桩示意图
【解】(l)定额工程量:
l)桩身部分:
V=3.1416(1.15/2)210.90m3=11.32 m3
2)圆台部分:
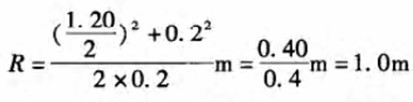
V=1/3h(r2+R2+rR)
=1/33.14161.0[(0.80/2)2+(1.20/2)2+0.80/21.2/2] m3
=1.047(0.16+0.36+0.24)m3
=1.0470.76 m3
=0.80 m3
3)球冠部分:

V=h2(R-h/3)=3.14160.202(1.0-0.20/3)m3=0.12 m3
挖孔桩体积=(11.32+0.80+0.12)m3=12.24 m3
套用基础定额1-26。
(2)清单工程量:
V=0.62(0.6+10.9+1+0.2)m3=14.36m3
清单工程量计算见表。
表 清单工程量计算表
项目编码
项目名称
项目特征描述
计量单位
工程量
010101003001
挖基础土方
二类土,桩基础,挖土深度12.7m
m3
14.36
注:挖基础土方包括带形基拙、独立基础、满堂基础(包括地下室基础)及设备基拙、人工挖孔桩等的地方。