建筑工程钢筋等强代换计算方法有哪些?
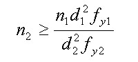
1.计算法

(9-11)
式中 n2代换钢筋根数;
n1原设计钢筋根数;
d2代换钢筋直径;
d1原设计钢筋直径;
fy2代换钢筋抗拉强度设计值(表9-28);
fy1原设计钢筋抗拉强度设计值。
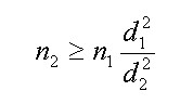
上式有两种特例:
(1)设计强度相同、直径不同的钢筋代换:

(9-12)
(2)直径相同、强度设计值不同的钢筋代换:

(9-13)
钢筋强度设计值(N/mm2) 表9-28

1.计算法

(9-11)
式中 n2代换钢筋根数;
n1原设计钢筋根数;
d2代换钢筋直径;
d1原设计钢筋直径;
fy2代换钢筋抗拉强度设计值(表9-28);
fy1原设计钢筋抗拉强度设计值。
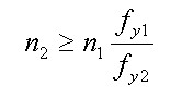
上式有两种特例:
(1)设计强度相同、直径不同的钢筋代换:

(9-12)
(2)直径相同、强度设计值不同的钢筋代换:

(9-13)
钢筋强度设计值(N/mm2) 表9-28
