
如果有一点神性,当然也是建筑师赋予的。
开放的中庭里整齐地矗立着两列高大的夯土墙,像是在举行某种宗教仪式。它们共同托起狭长的混凝土板,居然像是在传递某种与死亡有关的神秘祭品。日光和蓝天显然削弱了关于神性的胡思乱想:想象一下,如果是在黑夜,配合璀璨的星光,这些厚重的土墙和空灵的竹屋盖一定能够激发出更加宏大的骚气。

中庭两侧各有一排二层的夯土房。素土墙面的质感和原木楼盖相得益彰,甚至连夯土模板的细密横纹都似乎有意与木檩的节奏相呼应。

生而为土,气质却一点儿不土。不但可以驾驭工作室的简约,用于居住空间也是极好的。厚重的土墙制造出心理上的安宁,保温、调湿、隔热、隔音等物理性能更是非工业材料可比。

然而,跋涉四千里去看它,只为了写些酸文吗?除了诗和远方,除了宇宙星光,我们难道不该追求一些生活的苟且吗?
神性的墙廊你等一等,别以为头上顶一块儿板我就看不出你们其实在玩儿多米诺骨牌。在地震引起的地面晃动下,这些高大厚重的夯土墙在下图所示的y方向会像多米诺骨牌一样倒掉吗?

如果墙底和墙顶与混凝土基础和顶板没有使用钢筋连接,每片夯土墙近似于一个浮放的矩形摇摆体。这里面有两个有意思的问题:一是浮放摇摆体倾覆的尺寸效应;二是顶部盖板的作用。
先来看第一个问题。这些夯土墙的厚度是0.6米,高度我忘记问了,按每层3.6米的层高,姑且算作7.2米高吧。这样,高宽比达到12,感觉很容易倾覆的样子。
然而,早在半个多世纪之前,世界地震工程之父之一(世界地震工程有好几个爸爸这件事一直是个谜)的Housner教授就指出,摇摆体的倾覆不但与高宽比(b/h)有关,还与它的绝对尺寸有关:高宽比相同时,越大的东西越不容易倒。Size matters!
根据Housner的公式,在抗倾覆方面,这些巨大的夯土墙和1.2米高的24墙是一样的。这样是不是就放心一些了?

再来看第二个问题。在一排摇摆体上面压一根梁,有助于提高它们的抗倾覆能力吗?能提高多少?
不妨拿乐高来做一些小实验。在两个乐高块儿上压一个横梁,对于防止它们倾覆的作用好像有点儿作用。


加大横梁的重量会怎么样呢?好像确实会好一些。但是这个实验非常粗糙,最大的槽点在于地面运动输入我的双手。倒不倒基本靠手感。

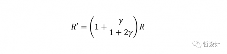
但是没关系,我们还有力学。Makris指出,在摇摆体上压一根梁确实有助于防止倾覆,压得梁越重,抗倾覆能力越强,增强的程度可以表现为等效尺寸的增大(下式)。

式中,R是摇摆体重心到旋转点之间的距离,对于均匀质量的矩形摇摆体就是它的对角线长度的一半;gama是压梁的质量和所有摇摆体质量之比;R"则是考虑了压梁影响的等效尺寸。
根据这个公式,当gama在零到无穷大之间取值时,R"在R到1.5R之间取值。刚才的乐高实验里两根柱子的总质量是6.8g,压梁的质量是5.5g,6个钢珠的质量是42.9g。所以三次实验的gama分别是0、0.8和7.1。根据Makris的公式,后两次实验的等效的R"分别是R的1.3倍和1.47倍;再根据Housner的公式,抗倾覆能力分别提高了14%和20%。
回到生土中心,与又高又大的夯土墙相比,上面压着的混凝土板和竹屋盖的重量很小,因此对于提高这些夯土墙的抗倾覆能力的作用将非常有限。不过无所谓啦,反正它们相当于1.2米高的24墙,不太容易被晃倒吧。
此外,这些夯土墙是不是浮放的摇摆体也很成问题。据陪我参观的田姐介绍,每片墙的四角还是各有一根钢筋的,另外好像端部与混凝土基础和顶板交界处也是埋了一些连接钢筋的。这就把一个如古希腊神庙般单纯的摇摆问题,变成了先弯后摇或者干脆不摇的问题。

当然,这两列神圣墙廊的外援也不可忽视。它们并非孤零零地站在中庭里,而是通过顶部的混凝土板与外立面的横墙相连,从而把自己的命运和这片横墙联系在了一起。如果混凝土板与横墙上的混凝土顶梁连接可靠,那么这个命运交汇点的受力想必会比较集中。
