规范网
更新
当前位置:
规范网
资料
内容详情
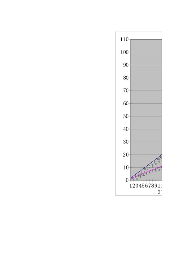
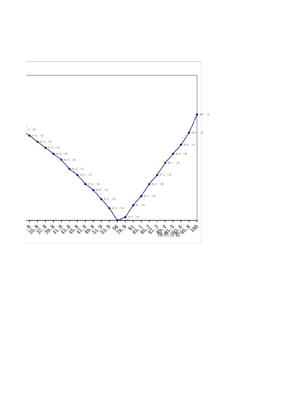
乙二醇浓度和冰点的关系
乙二醇浓度和冰点的关系
乙二醇浓度和冰点的关系
乙二醇浓度和冰点的关系
乙二醇浓度和冰点的关系
加入收藏
下载文件
声明:资源收集自网络或用户分享,仅供学习参考,如侵犯您的权益,请联系我们处理。
不能下载?报告错误
下页:
城市内涝的成因及其对策
相关推荐
家用和类似用途制冷器具用端子连接器 (QB/T 8029-2024)
二氧化碳制冷系统用电磁阀 (JB/T 14842-2024)
汽车空调用电动二氧化碳制冷剂压缩机 (JB/T 14845-2024)
二氧化碳制冷系统用电子膨胀阀 (JB/T 14843-2024)
家用和类似用途制冷器具用负温度系数传感器技术要求和试验方法 (QB/T 8030-2024)
乙二醇浓度和冰点的关系
下载文件
免费下载
标签
个人自传
讲话稿
城市轨道
新疆维吾尔自治区标准
口罩标准
建筑
工程
CAD图纸、图集
民政规范
航空规范
02j331
环境保护规范
照明标准
螺母标准
无缝管标准
最新更新
退刀槽标准
包装标准
锻件标准
国家物资储备规范
圆钢标准
出入境检验检疫规范
球墨铸铁管标准
思想汇报
销售总结
核工业规范
不锈钢管标准
插头标准