规范网
更新
当前位置:
规范网
资料
内容详情
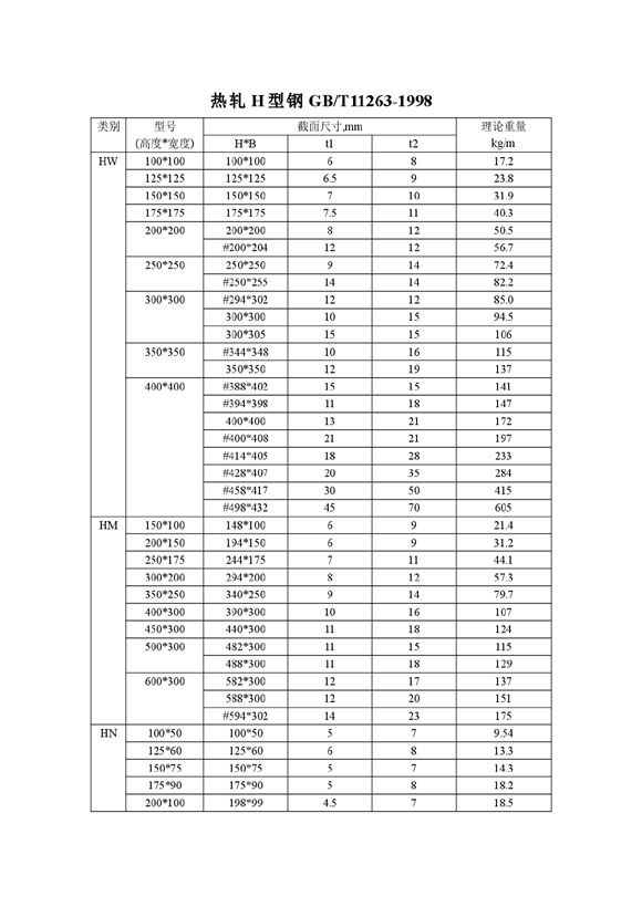
热轧H型钢大全(HN,HW,HM)
热轧H型钢大全(HN,HW,HM)
热轧H型钢大全(HN,HW,HM)
各种常见的热轧H型钢规格,包括HN,HM,HW各种型号.
加入收藏
下载文件
声明:资源收集自网络或用户分享,仅供学习参考,如侵犯您的权益,请联系我们处理。
不能下载?报告错误
下页:
各种规格化学锚栓数据设计值
相关推荐
新21G501图集钢结构及组合结构补充节点构造
装配式钢结构工程施工工艺标准 (DB64/T 2127-2025)
钢结构详图设计实例图集 王安麟主编
钢结构、混凝土、电缆防火涂料基础知识讲解
中国中铁 钢结构施工技术指导手册
热轧H型钢大全(HN,HW,HM)
下载文件
免费下载
标签
司法规范
汽车规范
浙江省标准
插头标准
无缝管标准
线材标准
文化规范
医院工作计划
钢丝绳标准
机关单位工作计划
角钢标准
中心孔标准
党员总结
放假通知
外经贸规范
密封圈标准
轻工业规范
学校领导讲话稿
焊接标准
弱电
四川省标准
项目申请
生产总结
螺丝标准
农业规范
平键标准
民用航空规范
核工业规范