一、全统市政定额桥涵工程工作内容
1.打桩工程
(1)打基础圆木桩的工作内容包括:制桩、安桩箍;运桩;移动桩架;安拆桩帽;吊桩、定位、校正、打桩、送桩;打拔缆风桩、松紧缆风桩;锯桩顶等。
(2)打木板桩的工作内容包括:木板桩制作;运桩;移动桩架;安拆桩帽;打拔导桩、安拆夹桩木;吊桩、定位、校正、打桩、送桩;打拔缆风桩、松紧缆风桩等。
(3)打钢筋混凝土方桩的工作内容包括:准备工作;捆桩、吊桩、就位、打桩、校正;移动桩架;安置或更换衬垫;添加润滑油、燃料;测量、记录等。
(4)打钢筋混凝土板桩的工作内容包括:准备工作;打拔导桩、安拆夹桩木;移动桩架;捆桩、吊桩、就位、打桩、校正;安置或更换衬垫;添加润滑油、燃料;测量、记录等。
(5)打钢筋混凝土管桩的工作内容包括:准备工作;安拆桩帽;捆桩、吊桩、就位、打桩、校正;移动桩架;安置或更换衬垫;添加润滑油、M料;测量、记录等。
(6)打钢管桩的工作内容包括:桩架场地平整;堆放;配合打桩;打桩。
注:
1.定额中不包括接桩费用,如发生接桩,按实际接头数量套用钢管桩接桩定额。
2.打钢管桩送桩,按打桩定额人工、机械数量乘以1. 9系数计算。
(7)接桩的工作内容包括:
1)浆锚接桩:对接、校正;安装夹箍及拆除;熬制及灌注硫磺胶泥。
2)焊接桩:对接、校正;垫铁片;安角铁、焊接。
3)法兰接桩:上下对接、校正;垫铁片、上螺栓、绞紧,焊接。
4)钢管桩、钢筋混凝土管桩电焊接桩:准备工具;磨焊接头;上、下节桩对接;焊接。
(8)送桩的工作内容包括:准备工作;安装、拆除送桩帽、送桩杆;安置或更换衬垫;添加润滑油、燃料;测量、记录;移动桩架等。
(9)钢管桩内切割的工作内容包括:准备机具;测定标高;钢管桩内排水;内切割钢管;截除钢筋、就地安放。
(10)钢管桩精割盖帽的工作内容包括:准备机具;测定标高画线、整圆;排水;精割;清泥;除锈;安放及焊接盖帽。
(11)钢管桩管内钻孔取土的工作内容包括:准备钻孔机具;钻机就位;钻孔取土;土方150m运输。
(12)钢管桩填心的工作内容包括:冲洗管桩内心;排水;混凝土填心。
2.钻孔灌注桩工程
(1)埋设钢护筒的工作内容包括:准备工作;挖土;吊装、就位、埋设、接护筒;定位下沉;还土、夯实;材料运输;拆除;清洗堆放等全部操作过程。
(2)人工挖桩孔的工作内容包括:人工挖土、装土、清理;小量排水;护壁安装;卷扬机吊运土等。
(3)回旋、冲击式钻机钻孔的工作内容包括:准备工作;装拆钻架、就位、移动;钻进、提钻、出渣、清孔;测量孔径、孔深等。
(4)卷扬机带冲抓锥冲孔的工作内容包括:装、拆、移钻架,安卷扬机,串钢丝绳;准备抓具、冲抓、提钻、出渣、清孔等。
(5)泥浆制作的工作内容包括:搭、拆溜槽和工作平台;拌合泥浆;倒运护壁泥浆等。
(6)灌注桩混凝土的工作内容包括:安装、拆除导管、漏斗;混凝土配、拌、浇捣;材料运输等全部操作过程。
3.砌筑工程
(1)浆砌块(料)石、混凝土预制块的工作内容包括:放样;安拆样架、样桩;选修石料、预制块;冲洗石料;配拌砂浆;砌筑;湿治养护等。
(2)砖砌体的工作内容包括:放样;安拆样架、样桩;浸砖;配拌砂浆;砌砖;湿治养护等。
(3)拱圈底模的工作内容包括:拱圈底模制作、安装、拆除。
4.预制混凝土工程
预制混凝土工程的工作内容包括:
(1)混凝土:混凝土配、拌、运输、浇筑、捣固、抹平、养护。
(2)模板:模板制作、安装、涂脱模剂;模板拆除、修理、整堆。
5.现浇混凝土工程
(1)基础的工作内容包括:
1)碎石;按放流槽;碎石装运、找平。
2)混凝土:装、运、抛块石;混凝土配、拌、运输、浇筑、捣固、抹平、养护。
3)模板:模板制作、安装、涂脱模剂;模板拆除、修理、整堆。
(2)承台,支撑梁与横梁,墩身、台身,拱桥,箱梁,板,板梁,板拱,挡墙,混凝土接头及灌缝,小型构件的工作内容包括:
1)混凝土:混凝土配、拌、运输、浇筑、捣固、抹平、养护。
2)模板:模板制作、安装、涂脱模剂;模板拆除、修理、整堆。
(3)桥面混凝土铺装的工作内容包括:
1)模板制作、安装、拆除。
2)混凝土配、拌、浇筑、捣固、湿治养护等。
(4)桥面防水层的工作内容包括:清理面层;熬、涂沥青;铺油毡或玻璃布;防水砂浆配拌、运料、抹平;涂薪接剂;橡胶裁剪、铺设等。
6.钢筋工程
(1)钢筋制作、安装的工作内容包括:钢筋解捆、除锈;调直、下料、弯曲;焊接、除渣;绑扎成型;运输人模。
(2)铁件、拉杆制作、安装的工作内容包括;
1)铁件:制作、除锈;钢板画线、切割;钢筋调直、下料、弯曲;安装、焊接、固定。
2)拉杆:下料、挑扣、焊接;除防锈漆;涂沥青;缠麻布;安装拉杆。
(3)预应力钢筋制作、安装的工作内容包括:
1)先张法:调直、下料;进人台座、按夹具;张拉、切断;整修等。
2)后张法:调直、切断;编束穿束;安装锚具、张拉、锚固;拆除、切割钢丝(束)、封锚。
(4)安装压浆管道和压浆的工作内容包括:
1)铁皮管、波纹管、三通管安装;定位固定。
2)胶管,管内塞钢筋或充气;安放定位;缠裹接头;抽拔;清洗胶管;清孔等。
3)管道压浆;砂浆配、拌、运、压浆等。
7.安装工程
(1)安装排架立柱的工作内容包括:安拆地锚;竖、拆及移动扒杆;起吊设备就位;整修构件;吊装、定位、固定;配、拌、运、填细石混凝土
(2)安装柱式墩、台管节的工作内容包括:安拆地锚;竖、拆及移动扒杆;起吊设备就位;冲洗管节,整修构件;吊装、定位、固定;砂浆配、拌、运;勾缝、坐浆等。
(3)安装矩形板、安心板、微弯板的工作内容包括:安拆地锚;竖、拆及移动扒杆;起吊设备就位;整修构件;吊装、定位;铺浆、固定。
(4)安装梁的工作内容包括:安拆地锚;竖、拆及移动扒杆;搭、拆木垛;组装、拆卸船排;打、拔缆风桩;组装、拆卸万能杆件,装、卸,运,移动;安拆轨道、枕木、平车、卷扬机及索具;安装、就位,固定;调制环氧树脂等。
(5)安装双曲拱构件的工作内容包括:安拆地锚;竖、拆及移动扒杆;起吊设备就位;整修构件;起吊,拼装,定位;坐浆,固定;混凝土及砂浆配、拌、运料、填塞、捣固、抹缝、养护等。
(6)安装双析架构件的工作内容包括:安、拆地锚;竖、拆及移动扒杆;整修构件;起吊,安装,就位,校正,固定;坐浆,填塞等。
(7)安装板拱的工作内容包括:安拆地锚;竖、拆及移动扒杆;起吊设备就位;整修构件;起吊,安装,就位,校正,固定;坐浆,填塞,养护等。
(8)安装小型构件的工作内容包括:起吊设备就位;整修构件;起吊,安装,就位,校正,固定;砂浆配、拌、运、捣固;焊接等。
(9)钢管栏杆及扶手安装的工作内容包括:
1)钢管栏杆:选料,切口,挖孔,切割;安装、焊接、校正、固定等(不包括混凝土捣脚)。
2)钢管扶手:切割钢管,钢板;钢管挖眼,调直;安装,焊接等。
(10)安装支座的工作内容包括:安装、定位、固定、焊接等。
(11)安装泄水孔的工作内容包括:清孔、熬涂沥青,绑扎、安装等。
(12)安装伸缩缝的工作内容包括:焊接、安装;切割临时接头;熬涂拌沥青及油浸;混凝土配、拌、运;沥青玛蹄脂嵌缝;铁皮加工;固定等。
注:梳型钢板、钢板、橡胶板及毛勒伸缩缝均按成品安装考虑,成品费用另计。
(13)安装沉降缝的工作内容包括:截、铺油毡或甘蔗板;熬涂沥青、安装整修等。
8.立交箱涵工程
(1)透水管铺设的工作内容包括:
1)钢透水管:钢管钻孔;涂防锈漆;钢管埋设;碎石充填。
2)混凝土透水管:浇捣管道垫层;透水管铺设;接口坞砂浆;填砂。
(2)箱涵制作的工作内容包括:
1)混凝土:混凝土配、拌、运输、浇筑、捣固、抹平、养护。
2)模板:模板制作、安装、涂脱模剂;模板拆除、修理、整堆。
(3)箱涵外壁及滑板面处理的工作内容包括:
1)外壁面处理:外壁面清洗;拌制水泥砂浆,熬制沥青,配料;墙面涂刷。
2)滑板面处理:石蜡加热;涂刷;铺塑料薄膜层。
(4)气垫安装、拆除及使用的工作内容包括:设备及管理安装、拆除;气垫起动及使用。
(5)箱涵顶进的工作内容包括:安装顶进设备及横梁垫块;操作液压系统;安放顶铁,顶进,顶进完毕后设备拆除等。
(6)箱涵内挖土的工作内容包括:
1)人工挖土:安、拆挖土支架;铺钢轨,挖土,运土;机械配合吊土、出坑、堆放、清理。
2)机械挖土工配合修底边;吊土、出坑、堆放、清理。
(7)箱涵接缝处理的工作内容包括:混凝土表面处理;材料调制、涂刷;嵌缝。
9.临时工程
(1)搭、拆桩基础支架平台的工作内容包括:竖拆桩架;制桩、打桩;装、拆桩箍;装钉支柱,盖木,斜撑,搁梁太铺板;拆除脚手板及拔桩;搬运材料,整理,堆放;组装拆卸船排(水上)。
(2)搭、手推磨垛的工作内容包括:平整场地、搭设,拆除等。
(3)拱、板涵拱盔支架的工作内容包括:选料、制作、安装、校正、拆除、机械移动、清场、整堆等。
(4)桥梁支架的工作内容包括:
1)木支架:支架制作、安装、拆除;析架式包括踏步、工作平台的制作、搭设、拆除;地锚埋设、拆除、缆风架设、拆除等。
2)钢支架:平整场地;搭、拆钢管支架;材料堆放等。
3)防撞墙悬挑支架:准备工作;焊接、固定;搭、拆支架,铺脚手板、安全网等。
注:满堂式钢管支架定额只含搭拆,使用费单价(t d)由各省,自治区、直辖市自定,工程量按每立方米空间体积50垅计算(包括扣件等).
(5)组装、拆卸船排的工作内容包括:选料、捆绑船排、就位、拆除、整理、堆放等。
(6)组装、拆卸柴油打桩机的工作内容包括:组装、拆除打桩机械及辅助机械,安拆地锚,打、拔缆风桩,试车,清场等。
(7)组装、拆卸万能杆件的工作内容包括:安装、拆除、整理、堆放等。
注:定额只含搭拆万能杆件摊销量,其使用费单位(td)由各省,自治区、直辖市自定,工程量按每立方米空间体积125掩计算。
(8)挂篮安装、拆除、推移的工作内容包括:
1)安装:定位、校正、焊接、固定(不包括制作)。
2)拆除:气割、整理。
3)推移:定位、校正、固定。
注:挂篮施工所需压重材料由各省、自治区、直辖市自定,费用另计。
(9)筑、拆胎、地模的工作内容包括:平整场地;模板制作、安装、拆除;混凝土配、拌、运;筑、浇、砌,堆;拆除等。
注:块石灰消解费用另计。
(10)凿除桩顶钢筋混凝土的工作内容包括:拆除、旧料运输。
10.装饰工程
(1)水泥砂浆抹面的工作内容包括:清理及修理基底,补表面;堵墙眼;湿治;砂浆配、拌、抹灰等。
(2)水刷石、剁斧石的工作内容包括:清理基底及修补表面;刮底;嵌条;起线;湿治;砂浆配、拌、抹面;刷石;清场等。
(3)拉毛的工作内容包括:清理基底及修补表面;砂浆配、拌;打底抹面;湿治;罩面;拉毛;清场等。
(4)水磨石的工作内容包括:清理基底及修补表面;刮底;砂浆配、拌、抹面;压光;磨平;清场等。
(5)镶贴面层的工作内容包括:清理基底及修补表面;刮底;砂浆配、拌、抹平;砍、打及磨光块料边缘;镶贴;修嵌缝隙;涂污;打蜡擦亮;材料运输及清场等。
(6)水质涂料的工作内容包括:清理基底;砂浆配、拌;打底抹面;抹腻子;涂刷;清场等。
(7)油漆的工作内容包括:除锈,清扫;抹腻子;刷油漆等。
二、桥涵工程定额工程且计算说明
1.打桩工程说明
(1)打桩工程定额内容包括打木制桩、打钢筋混凝土桩、打钢管桩、送桩、接桩等项目共12节107个子目。
(2)定额中土质类别均按甲级土考虑。各省、自治区、直辖市可按本地区土质类别进行调整。
(3)打桩工程定额均为打直桩,如打斜桩(包括俯打、仰打)斜率在1:6以内时,人工乘以1.33,机械乘以1.430
(4)打桩工程定额均考虑在已搭置的支架平台上操作,但不包括支架平台,其支架平台的搭设与拆除应按临时工程有关项目计算。
(5)陆上打桩采用履带式柴油打桩机时,不计陆上工作平台费,可计20cm碎石垫层,面积按陆上工作平台面积计算。
(6)船上打桩定额按两艘船只拼搭、捆绑考虑。
(7)打板桩定额中.均已包括打、拔导向桩内容,不得重复计算。
(8)陆上、支架上、船上打桩定额中均未包括运桩。
(9)送桩定额按送4m为界,如实际超过4m时,按相应定额乘以下列调整系数。
1)送桩5m以内乘以1. 2系数。
2)送桩6m以内乘以1.5系数。
3)送桩7m以内乘以2.0系数。
4)送桩7m以上,以调整后7m为基础,每超过lm递增0.75系数。
(10)打桩机械的安装、拆除按临时工程有关项目计算。打桩机械场外运输费按机械台班费用定额计算。
2.钻孔灌注桩工程说明
(1)钻孔灌注桩工程定额包括埋设护筒,人工挖孔、卷扬机带冲抓锥、冲击钻机、回旋钻机四种成孔方式及灌注混凝土等项目共7节104个子目。
(2)钻孔灌注桩工程定额适用于桥涵工程钻孔灌注桩基础工程。
(3)定额钻孔土质分为8种:
1)砂土:粒径不大于2mm的砂类土,包括淤泥、轻亚私土。
2)土:亚薪土、a土、黄土,包括土状风化。
3)砂砾:粒径2 - 20mm的角砾、圆砾含量不大于50%,包括碴石钻土及粒状风化。
4)砾石:粒径2- -20mm的角砾、圆砾含量大于50%,有时还包括粒径为20 - 200mm的碎石、卵石,其含量在50%以内,包括块状风化。
5)卵石:粒径20-200mm的碎石、卵石含量大于10%,有时还包括块石、漂石,其含量在10%以内,包括块状风化。
6)软石:各种松软、胶结不紧、节理较多的岩石及较坚硬的块石土、漂石土。
7)次坚石:硬的各类岩石,包括粒径大于500mm、含量大于10%的较坚硬的块石、漂石。
8)坚石:坚硬的各类岩石,包括粒径大于1000mm、含量大于10%的坚硬的块石、漂石。
(4)成孔定额按孔径、深度和土质划分项目,若超过定额使用范围时,应另行计算。
(5)埋设钢护筒定额中钢护筒按摊销量计算,若在深水作业时,钢护筒无法拔出时,经建设单位签证后,可按钢护筒实际用量(或参考表11-1的重量)减去定额数量一次增列计算,但该部分不得计取除税金外的其他费用。

(6)灌注桩混凝土均考虑混凝土水下施工,按机械搅拌,在工作平台上导管倾注混凝土。定额中已包括设备(如导管等)摊销及扩孔增加的混凝土数量,不得另行计算。
(7)定额中未包括:钻机场外运输、截除余桩、废泥浆处理及外运,其费用可另行计算。
(8)定额中不包括在钻孔中遇到障碍必须清除的工作,发生时另行计算。
(9)泥浆制作定额按普通泥浆考虑,若需采用膨润土,各省、自治区、直辖市可作相应调整。
3.砌筑工程说明
(1)砌筑工程定额包括浆砌块石、料石、混凝土预制块和砖砌体等项目共5节21个子目.
(2)砌筑工程定额适用于砌筑高度在8m以内的桥涵砌筑工程,未列的砌筑项目,按全统市政定额第一册《通用项目》相应定额执行。
(3)砌筑定额中未包括垫层、拱背和台背的填充项目,如发生上述项目,可套用有关定额。
(4)拱圈底模定额中不包括拱盔和支架,可按临时工程相应定额执行。
(5)定额中调制砂浆,均按砂浆拌和机拌合,如采用人工拌制时,定额不予调整。
4.预制混凝土工程说明
(1)预制混凝土工程定额包括预制桩、柱、板、梁及小型构件等项目共8节44个子目。
(2)预制混凝土工程定额适用于桥涵工程现场制作的预制构件。
(3)预制混凝土工程定额中均未包括预埋铁件,如设计要求预埋铁件时,可按 设计用量套用钢筋工程中有关项目。
(4)定额不包括地模、胎模费用,需要时可按临时工程中有关定额计算。胎、 地模的占用面积可由各省、自治区、直辖市另行规定。
5.现浇混凝土工程说明
(1)现浇混凝土工程定额包括基础、墩、台、柱、梁、桥面、接缝等项目共14节 76个子目。
(2)现浇混凝土工程定额适用于桥涵工程现浇各种混凝土构筑物。
(3)现浇混凝土工程定额中嵌石混凝土的块石含量如与设计不同时,可以换算,但人工及机械不得调整。
(4)钢筋工程中定额中均未包括预埋铁件,如设计要求预埋铁件时,可按设计用量套用定额第四章有关项目。
(5)承台分有底模和无底模两种,应按不同的施工方法套用定额相应项目。
(6)定额中混凝土按常用强度等级列出,如设计要求不同时可以换算。
(7)定额中模板以木模、工具式钢模为主(除防撞护栏采用定型钢模外)。若采用其他类型模板时,允许各省、自治区、直辖市进行调整。
(s)现浇梁、板等模板定额中均已包括铺筑底模内容,但未包括支架部分。如发生时可套用临时工程有关项目。
6.钢筋工程说明
(1)钢筋工程定额包括桥涵工程各种钢筋、高强钢丝、钢绞线、预埋铁件的制作安装等项目共4节27个子目。
(2)定额中钢筋按10以内及10以外两种分列,10以内采用Q235钢,10以外采用16锰钢,钢板均按Q235钢计列,预应力筋采用HRB500级钢、钢绞线和高强钢丝。因设计要求采用钢材与定额不符时,可予调整.
(3)因束道长度不等,故定额中未列锚具数量,但已包括锚具安装的人工费。
(4)先张法预应力筋制作、安装定额,未包括张拉台座,该部分可由各省、自治区、直辖市视具体情况另行规定。
(5)压浆管道定额中的铁皮管、波纹管均已包括套管及三通管安装费用,但未包括三通管费用,可另行计算。
(6)定额中钢绞线按15. 24、束长在40m以内考虑,如规格不同或束长超过40m时,应另行计算.
7.安装工程说明
(1)安装工程定额包括安装排架立柱、墩台管节、板、梁、小型构件、栏杆扶手、支座、伸缩缝等项目共13节90个子目。
(2)安装工程定额适用于桥涵工程混凝土构件的安装等项目。
(3)小型构件安装已包括150m场内运输,其他构件均未包括场内运输。
(4)安装预制构件定额中,均未包括脚手架,如需要用脚手架时,可套用第一册通用项目相应定额项目。
(5)安装预制构件,应根据施工现场具体情况,采用合理的施工方法,套用相应定额。
(6)除安装梁分陆上、水上安装外,其他构件安装均未考虑船上吊装,发生时可增计船只费用。
8.立交箱涵工程说明
(1)立交箱涵工程定额包括箱涵制作、顶进、箱涵内挖土等项目共7节36个子目。
(2)立交箱涵工程定额适用于穿越城市道路及铁路的立交箱涵顶进工程及现浇箱涵工程。
(3)定额顶进土质按工、H类土考虑,若实际土质与定额不同时,可由各省、自治区、直辖市进行调整。
(4)定额中未包括箱涵顶进的后靠背设施等,其发生费用另行计算。
(5)定额中未包括深基坑开挖、支撑及井点降水的工作内容,可套用有关定额计算。
(6)立交桥引道的结构及路面铺筑工程,根据施工方法套用有关定额计算。
9.临时工程说明
(1)临时工程定额内容包括桩基础支架平台、木垛、支架的搭拆,打桩机械、船排、万能杆件的组拆,挂篮的安拆和推移,胎地模的筑拆及桩顶混凝土凿除等项目共10节40个子目。
(2)临时工程定额支架平台适用于陆上、支架上打桩及钻孔灌注桩。支架平台分陆上平台与水上平台两类,其划分范围由各省、自治区、直辖市根据当地的地形条件和特点确定。
(3)桥涵拱盔、支架均不包括底模及地基加固在内。
(4)组装、拆卸船排定额中未包括压舱费用。压舱材料取定为大石块,并按船排总吨位的30%计取(包括装、卸在内150m的二次运输费)。
(5)打桩机械锤重的选择见表11-2.

(6)搭、拆水上工作平台定额中,已综合考虑了组装、拆卸船排及组装、拆卸打拔桩架工作内容,不得重复计算。
10.装饰工程说明
(1)装饰工程定额包括砂浆抹面、水刷石、剁斧石、拉毛、水磨石、镶贴面层、涂料、油漆等项目共8节46个子目。
(2)装饰工程定额适用于桥、涵构筑物的装饰项目。
(3)镶贴面层定额中,贴面材料与定额不同时,可以调整换算,但人工与机械台班消耗量不变。
(4)水质涂料不分面层类别,均按本定额计算,由于涂料种类繁多,如采用其他涂料时,可以调整换算。
(5)水泥白石子浆抹灰定额,均未包括颜料费用,如设计需要颜料调制时,应增加颜料费用。
(6)油漆定额按手工操作计取,如采用喷漆时,应另行计算。定额中油漆种类与实际不同时,可以调整换算。
(7)定额中均未包括施工脚手架,发生时可按全统市政定额第一册《通用项目》相应定额执行。
11.定额说明
(1)预制混凝土及钢筋混凝土构件均属现场预制,不适用于独立核算、执行产品出厂价格的构件厂所生产的构配件。
(2)定额中提升高度按原地面标高至梁底标高8m为界,若超过8m时,超过部分可另行计算超高费;定额河道水深取定为3m,若水深大于3m时,应另行计算。当超高以及水深大于3m时,超过部分增加费用的具体计算办法按各省、自治区、直辖市规定执行。
(3)定额中均未包括各类操作脚手架,发生时按第一册通用项目相应定额执行。
(4)定额未包括的预制构件场内、场外运输,可按各省、自治区、直辖市的有关规定计算。
12.有关数据的取定
(1)人工。定额人工的工日不分工种、技术等级,一律以综合工日表示。内容包括基本用工、超运距用工、人工幅度差和辅助用工。
综合工日=基本用工+超运距用工+人工幅度差+辅助用工
1)基本用工:以《全国统一劳动定额》或《全国统一建筑工程基础定额》和《全国统一安装工程基础定额》为基础计算。
2)人工幅度=(基本用工+超运距用工)X人工幅度差率,人工幅度差率取定15%。
3)以《全国统一劳动定额》为基础计算基本用工,可计人工幅度差。
4)以交通部《公路预算定额)(1992年)为基础,计算基本用工时,应先扣除8%,再计人工幅度差。
5)以《全国统一建筑工程基础定额》为基础计算基本用工以及根据实际需要采用估工增加的辅助用工,不再计人工幅度差.
(2)材料。材料消耗量是指直接消耗在定额工作内容中的使用量和规定的损耗量。
总消耗量=净用量X(1十损耗率)
桥梁工程各种材料损耗率见表11-3.


1)钢筋。定额中钢筋按直径分为10以下、0以上两种,比例按结构部位来确定。
2)钢材焊接与切割单位材料消耗用量见表11一至表11-7




③纯水泥浆的用水最按水泥重量的35%计算。
④浸砖用水量按使用砖的体积50%计算。
5)周转材料.指不构成工程实体,在施工中必须发生,以周转次数摊销量形式表示的材料.平面模板以工具式钢模为主,异形模板以木模为主。
①工具式钢模板。
a.钢模周转材料使用次数见表11-9

b.工具式钢模板按质量取定.工具式钢模板由钢模板(包括平模、阴阳角模、固定角模)、零星卡具(U形卡、插销及其他扣件等)、支撑钢管和部分木模组成。定额按厚2.5mm钢模板计算,每平方米钢模板为34kg,扣件为5.43kg,钢支撑另行计算。
c.钢支撑.钢管支撑采用048,壁厚3. 5mm,每米单位重量3.84kg,扣件每个重量1.3kg(T字形、回转型、加权平均)计算。
根据构筑物高度,确定钢模板接触混凝土面积,所需每平方米支撑用量如下:

d.扣件:用量根据各种高度综合考虑,每米217个。
e.钢模支撑拉杆:用量按钢模接触混凝土面积每平方米一根,采用12圆钢(每米单位重量0.888kg),并配2只尼龙帽。
定额中钢木模比例取定为钢模85 %,木模15%,
②木模板周转次数和一次补损率见表11-10.


a.木模材料取定.板厚取定为2.5 cm,支撑规格根据不同结构部位受力情况计算而定,不作统一规定.
b.木模板的计算方法:

6)铁钉用量计算。按配不同构件的模板,根据支模的质量标准来计算。
7)设备材料用量计算。设备材料指机械台班中不包括的,如木扒杆、铁扒杆、地拢等材料。各种设备材料用量计算根据1986年全国统一市政定额桥涵基本数据确定,用量按桥次摊销,每一个桥次为315m混凝土.
8)草袋用量计算.

9)其他材料的取定.
①脱模油按每平方米模板接触混凝土面积0.10kg计。
②模板嵌缝料(绒布),每米按20.05kg计。
③尼龙帽按5次摊销.
④白棕绳按2桥次摊销。
(3)机械。机械台班耗用量指按照施工作业,取用合理的机械,完成单位产品耗用的机械台班消耗量。
1)属于按施工机械技术性能直接计取台班产量的机械,则直接按台班产m计算。
2)按劳动定额计算定额台班量:

分项工程量指单位定额中需要加工的分项工程量,产量定额指按劳动定额取定的每工日完成的产量。
3)桥涵机械幅度差见表11-11。

13.其他问题说明
(1)运输的取定。
1)预算定额运距的取定,除注明运距外.均按150m运距计。
2)超运距=150m总运距一劳动定额基本运距.
3)垂直运输lm按水平运输7m计。
①后台生料运输采用人力手推车,水泥、黄砂、石子运输数量参照1992年交通部公路工程预算定额混凝土配合比表。
②前台熟料运输采用1t机动翻斗车.
4)构件安装(包括打桩)均不包括场内运输.
(2)一桥次的计算依据。按3孔、16m的板梁,14m宽的中型桥梁,混凝土量为315m。
(3)安装定额中,机械选用一般按构件重量的3倍配备机械。
(4)悬臂浇筑定额中所使用的挂篮及金属托架是按单位工程一次用量扣25%的残值后一次摊销。
三、桥涵工程定额工程最计算规则
1.打桩工程
(1)打桩。
1)钢筋混凝土方桩、板桩按桩长度(包括桩尖长度)乘以桩横断面面积计算.
2)钢筋混凝土管桩按桩长度(包括桩尖长度)乘以桩横断面而积,减去空心部分体积计算.
3)钢管桩按成品桩考虑,以吨计算.
(2)焊接桩型钢用量可按实调整.
(3)送桩。
1)陆上打桩时,以原地面平均标高增加lm为界线,界线以下至设计桩顶标高之间的打桩实体积为送桩工程量。
2)支架上打桩时,以当地施工期间的最高潮水位增加0. 5m为界线,界线以下至设计桩顶标高之间的打桩实体积为送桩工程量。
3)船上打桩时,以当地施工期间的平均水位增加Im为界线,界线以下至设计桩顶标高之间的打桩实体积为送桩工程量。
2.钻孔灌注桩工程
(1)灌注桩成孔工程量按设计人土深度计算。定额中的孔深指护筒顶至桩底的深度。成孔定额中同一孔内的不同土质.不论其所在的深度如何,均执行总孔深定额。
(2)人工挖桩孔土方工程量按护壁外缘包围的面积乘以深度计算.
(3)灌注桩水下混凝土工程量按设计桩长增加1.0m乘以设计横断面面积计算。
(4)灌注桩工作平台按照临时工程有关项目计算。
(5)钻孔灌注桩钢筋笼按设计图纸计算,套用钢筋工程有关项目。
(6)钻孔灌注桩需使用预埋铁件时,套用钢筋工程有关项目。
3.砌筑工程
(1)砌筑工程量按设计砌体尺寸以立方米体积计算,嵌人砌体中的钢管、沉降缝、伸缩缝以及单孔面积0.3时以内的预留孔所占体积不予扣除。
(2)拱圈底模工程量按模板接触砌体的面积计算。
4.预制混凝土工程
(1)混凝土工程量计算。
1)预制桩工程量按桩长度(包括桩尖长度)乘以桩横断面面积计算.
2)预制空心构件按设计图尺寸扣除空心体积,以实体积计算.空心板梁的堵头板体积不计入工程量内,其消耗量已在定额中考虑.
3)预制空心板梁,凡采用橡胶囊做内模的,考虑其压缩变形因素,可增加混凝土数量.当梁长在16m以内时,可按设计计算体积增加7%;若梁长大于16m时,则增加9%计算。如设计图已注明考虑橡胶囊变形时,不得再增加计算.
4)预应力混凝土构件的封锚混凝土数量并人构件混凝土工程量计算.
(2)模板工程量计算。
1)预制构件中预应力混凝土构件及T形梁、I形梁、双曲拱、析架拱等构件均按模板接触混凝土的面积(包括侧模、底模)计算.
2)灯柱、端柱、栏杆等小型构件按平面投影面积计算。
3)预制构件中非预应力构件按模板接触混凝土的面积计算,不包括胎、地模.
4)空心板梁中空心部分,桥涵工程定额均采用橡胶囊抽拔,其摊销量已包括在定额中,不再计算空心部分模板工程量.
5)空心板中空心部分,可按模板接触混凝土的面积计算工程量。
(3)预制构件中的钢筋混凝土桩、梁及小型构件,可按混凝土定额基价的2%计算其运输、堆放、安装损耗,但该部分不计材料用量.
5.现浇混凝土工程
(1)混凝土工程量按设计尺寸以实体积计算(不包括空心板、梁的空心体积),不扣除钢筋、铁丝、铁件、预留压浆孔道和螺栓所占的体积.
(2)模板工程量按模板接触混凝土的面积计算。
(3)现浇混凝土墙、板上单孔面积在0. 3㎡,以内的孔洞体积不予扣除,洞侧壁模板面积亦不再计算;单孔面积在0.3㎡以上时,应予扣除,洞侧壁模板面积并人墙、板模板工程量之内计算。
6.钢筋工程
(1)钢筋按设计数量套用相应定额计算(损耗已包括在定额中)。设计未包括施工用筋经建设单位同意后可另计。
(2)T形梁连接钢板项目按设计图纸,以t为单位计算.
(3)锚具工程量按设计用量乘以下列系数计算.锥形锚为1.05; OVM锚为1.05;墩头锚为1.00.
(4)管道压浆不扣除钢筋体积。
7.安装工程
(1)定额安装预制构件以m为计量单位的,均按构件混凝土实体积(不包括空心部分)计算.
(2)驳船不包括进出场费,其吨位单价由各省、自治区、直辖市确定。
8.立交箱涵工程
(1)箱涵滑板下的肋楞,其工程量并人滑板内计算.
(2)箱涵混凝土工程量,不扣除单孔面积0.3㎡时以下的预留孔洞体积.
(3)顶柱、中继间护套及挖土支架均属专用周转性金属构件,定额中已按摊销量计列,不得重复计算.
(4)箱涵顶进定额分空项、无中继间实土顶和有中继间实土顶三类,其工程量计算如下:
1)空顶工程量按空顶的单节箱涵重量乘以箱涵位移距离计算。
2)实土顶工程量按被顶箱涵的重量乘以箱涵位移距离分段累计计算。
(5〕气垫只考虑在预制箱涵底板上使用,按箱涵底面积计算.气垫的使用天数由施工组织设计确定,但采用气垫后在套用顶进定额时应乘以0.7系数.
9.临时工程
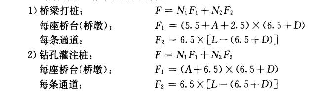
(1)搭拆打桩工作平台面积计算.

式中
F一一工作平台总面积,单位为㎡;
F1每座桥台(桥墩)工作平台面积,单位为㎡;
F2桥台至桥墩间或桥墩至桥墩间通道工作平台面积,单位为㎡;
N1桥台和桥墩总数量;
N2通道总数量;
D二排桩之间距离,单位为m;
L桥梁跨径或护岸的第一根桩中心至最后一根桩中心之间的距离,单位为m;
A桥台(桥墩)每排桩的第一根桩中心至最后一根桩中心之间的距离,单位为m。
(2)凡台与墩或墩与墩之间不能连续施工时(如不能断航、断交通或拆迁工作不能配合).每个墩、台可计一次组装、拆卸柴油打桩架及设备运输费。
(3)桥涵拱盔、支架空间体积计算.
1)桥涵拱盔体积按起拱线以上弓形侧面积乘以(桥宽+2m)计算。
2)桥涵支架体积为结构底至原地面(水上支架为水上支架平台顶面)平均标高乘以纵向距离再乘以(桥宽+2m)计算。
10.装饰工程
除金属面油漆以t计算外,其余项目均按装饰面积计算。